我是靠谱客的博主 从容蛋挞,这篇文章主要介绍机器学习与深度学习系列连载: 第二部分 深度学习(十五)循环神经网络 3(Gated RNN - GRU)循环神经网络 3(Gated RNN - GRU),现在分享给大家,希望可以做个参考。
循环神经网络 3(Gated RNN - GRU)
LSTM 是1997年就提出来的模型,为了简化LSTM的复杂度,在2014年 Cho et al. 提出了 Gated Recurrent Units (GRU)。接下来,我们在LSTM的基础上,介绍一下GRU。
主要思路是:
• keep around memories to capture long distance dependencies
• allow error messages to flow at different strengths depending on the inputs
1. Gate 公式
相对于LSTM, GRU 的门限减少到2个gate(LSTM是3个)
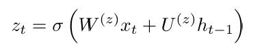
(1) Update Gate

如果 update 接近于1,我们就直接copy以前的信息到现在的输入,有效地防止了梯度消失。
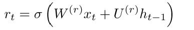
(2) Resst Gate

如果reset 接近于0,意味着忘记以前的hidden state。
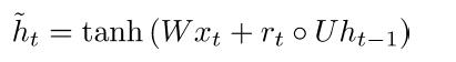
(3) New memory content

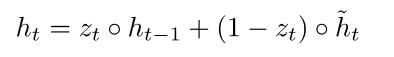
(4) Final memory

2.基础架构

通过基础架构可以看出来,GRU比LSTM实现简单,但是最终的效果,二者不相上下。

本专栏图片、公式很多来自台湾大学李弘毅老师、斯坦福大学cs229,斯坦福大学cs231n 、斯坦福大学cs224n课程。在这里,感谢这些经典课程,向他们致敬!
最后
以上就是从容蛋挞最近收集整理的关于机器学习与深度学习系列连载: 第二部分 深度学习(十五)循环神经网络 3(Gated RNN - GRU)循环神经网络 3(Gated RNN - GRU)的全部内容,更多相关机器学习与深度学习系列连载:内容请搜索靠谱客的其他文章。
本图文内容来源于网友提供,作为学习参考使用,或来自网络收集整理,版权属于原作者所有。
发表评论 取消回复