伯努利分布、二项分布、几何分布、超几何分布、泊松分布都是离散型随机变量。
1 伯努利分布:就是常见的0-1 分布,各自的频率为1-p和p ,当x=0 或者x=1 的时候,:
p(x) =![]()
期望:
方差: ![]()
对于伯努利分布来说 ,期望![]()
2 二项分布:
假设·n次独立实验,每次实验成功的概率为p,所有成功的次数X就是一个参数为n和p的二项随机变量,数据公式为:

二项分布的每一次实验都是伯努利分布,n次实验,成功k次,排列方式有
种。
总发生次数,
,均值:
,方差:![]()
3 几何分布和二项分布:
负二项分布是几何分布的一般形式,与二项分布类似,也是有n次伯努利分布构成,随机变量X 表示第一次成功所进行试验的次数:
p(k)=P(X=k)=
,k=1,2,3,...
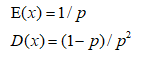
负二项分布是几何分布的一般形式,表示直到成功r次停止,显而易见,当r=1 的时候,它就是几何分布:
几何分布的期望和方差
:
4 超几何分布:
常用来表示N个物品中有指定商品M个,不放回抽取n个,抽中指定商品的个数,即X-H(N,n,M) 则抽中k件的概率为:

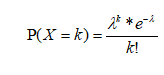
5 泊松分布:
频率函数定义为
,k=0,1,2,3,...
泊松分布是二项分布的极限形式。
最后
以上就是高大小土豆最近收集整理的关于统计复习:伯努利分布、二项分布、几何分布、超几何分布、泊松分布的全部内容,更多相关统计复习内容请搜索靠谱客的其他文章。
本图文内容来源于网友提供,作为学习参考使用,或来自网络收集整理,版权属于原作者所有。
发表评论 取消回复