【ybtoj 高校进阶 6.2】 【质数与约数】 不定方程
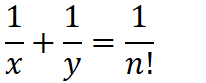
题目
洛谷 P1445

解题思路

通分一下

两边都加上(n!)2

转换为

设a=(x-n!),b=(y-n!),ab=(n!)2
a是(n!)2的因数,且知道a一定能求出b
设n!=p1c1+p2c2+…+pkck
(n!)2=p12*c1+p22*c2+…+pk2*ck
a的个数就有(2c1+1)(2c2+1)…(2*ck+1)
求c可以用公式

代码
#include<iostream>
#include<cstdio>
using namespace std;
const int mo=1e9+7;
int n,l,p[1000010];
long long c[1000010],ans=1,prm[1000010];
int main()
{
scanf("%d",&n);
for (int i=2;i<=n;i++) //将质数筛出来
{
if (!p[i]) prm[++l]=i;
for (int j=1;j<=l&&i*prm[j]<=n;j++)
{
p[i*prm[j]]=1;
if (i%prm[j]==0) break;
}
}
for (int i=1;i<=l;i++) //求ci
{
int pi=prm[i];
for (long long j=pi;j<=n;j*=pi) c[i]+=(n/j);
c[i]=c[i]%mo;
}
for (int i=1;i<=l;i++) //累计答案
ans=((2*c[i]+1)%mo*ans)%mo;
printf("%lld",ans);
return 0;
}
最后
以上就是安静书包最近收集整理的关于【ybtoj 高校进阶 6.2】 【质数与约数】 不定方程【ybtoj 高校进阶 6.2】 【质数与约数】 不定方程的全部内容,更多相关【ybtoj内容请搜索靠谱客的其他文章。
本图文内容来源于网友提供,作为学习参考使用,或来自网络收集整理,版权属于原作者所有。
发表评论 取消回复