文章目录
- 8.1 周期序列的表示-离散傅里叶级数
- 8.2 离散傅里叶级数的性质
- 8.2.1 线性
- 8.2.2 序列的移位
- 8.2.3 对偶性
- 8.2.4 对称性
- 8.2.5 周期卷积
- 8.2.6 周期序列DFS表示性质汇总
- 8.3 周期信号的傅里叶变换
8.1 周期序列的表示-离散傅里叶级数
与连续时间周期信号相似,离散时间周期序列也可表示为傅里叶级数,该级数相当于成谐波关系的复指数序列之和。离散时间周期信号与连续时间周期信号表达式如下所示:
x
^
[
n
]
=
∑
k
=
<
N
>
a
k
e
j
w
0
k
n
=
1
N
∑
k
=
<
N
>
X
[
k
]
e
j
w
0
k
n
hat{x}[n]=sum_{k=<N>}a_ke^{jw_0kn}=frac{1}{N}sum_{k=<N>}X[k]e^{jw_0kn}
x^[n]=k=<N>∑akejw0kn=N1k=<N>∑X[k]ejw0kn
x
^
(
t
)
=
∑
k
=
−
∞
+
∞
a
k
e
j
w
0
k
t
hat{x}(t)=sum_{k=-infty}^{+infty}a_ke^{jw_0kt}
x^(t)=k=−∞∑+∞akejw0kt
离散和连续时间周期信号的区别在于,离散时间周期信号只需要N个成谐波关系的复指数,而连续时间周期信号需要无穷多个。
离散傅里叶(DFS)分析-合成对如下所示:
X ^ [ k ] = ∑ n = 0 N − 1 x ^ [ n ] e − j w 0 k n hat{X}[k]=sum_{n=0}^{N-1}hat{x}[n]e^{-jw_0kn} X^[k]=n=0∑N−1x^[n]e−jw0kn
x ^ [ n ] = 1 N ∑ k = 0 N − 1 X ^ [ n ] e j w 0 k n hat{x}[n]=frac{1}{N}sum_{k=0}^{N-1}hat{X}[n]e^{jw_0kn} x^[n]=N1k=0∑N−1X^[n]ejw0kn
8.2 离散傅里叶级数的性质
离散傅里叶级数的特定性质是它能够成功应用到信号处理问题的基础。 x ^ [ n ] hat{x}[n] x^[n]和 X ^ [ k ] hat{X}[k] X^[k]的周期性将引出一些重要的不同,并且序列的离散时间傅里叶变换和z变换的表达式中所不精确存在的对偶性,却存在于离散傅里叶级数的时域和频域表达中。
8.2.1 线性
x
^
1
[
n
]
⟷
D
F
S
X
^
1
[
k
]
hat{x}_1[n] overset{DFS}{longleftrightarrow}hat{X}_1[k]
x^1[n]⟷DFSX^1[k]
x
^
2
[
n
]
⟷
D
F
S
X
^
2
[
k
]
hat{x}_2[n] overset{DFS}{longleftrightarrow}hat{X}_2[k]
x^2[n]⟷DFSX^2[k]
a
x
^
1
[
n
]
+
b
x
^
2
[
n
]
⟷
D
F
S
a
X
^
1
[
k
]
+
b
X
^
2
[
k
]
ahat{x}_1[n]+bhat{x}_2[n] overset{DFS}{longleftrightarrow}ahat{X}_1[k]+bhat{X}_2[k]
ax^1[n]+bx^2[n]⟷DFSaX^1[k]+bX^2[k]
8.2.2 序列的移位
x
^
[
n
−
m
]
⟷
D
F
S
e
−
j
w
0
k
m
X
^
[
k
]
hat{x}[n-m] overset{DFS}{longleftrightarrow}e^{-jw_0km}hat{X}[k]
x^[n−m]⟷DFSe−jw0kmX^[k]
e
j
w
0
l
n
x
^
[
n
]
⟷
D
F
S
X
^
[
k
−
l
]
e^{jw_0ln}hat{x}[n] overset{DFS}{longleftrightarrow}hat{X}[k-l]
ejw0lnx^[n]⟷DFSX^[k−l]
8.2.3 对偶性
连续时间傅里叶分析和综合方程式之间极为相似,所以在时域和频域之间存在着对偶性。但是对于非周期信号的离散时间傅里叶变换并不存在对偶性,因为非周期信号和它的傅里叶变换是两类不同的函数。但周期序列的DFS分析式和综合式具有对偶性,如下所示:
x ^ [ n ] ⟷ D F S X ^ [ k ] hat{x}[n] overset{DFS}{longleftrightarrow}hat{X}[k] x^[n]⟷DFSX^[k]
X ^ [ n ] ⟷ D F S N x ^ [ − k ] hat{X}[n] overset{DFS}{longleftrightarrow}Nhat{x}[-k] X^[n]⟷DFSNx^[−k]
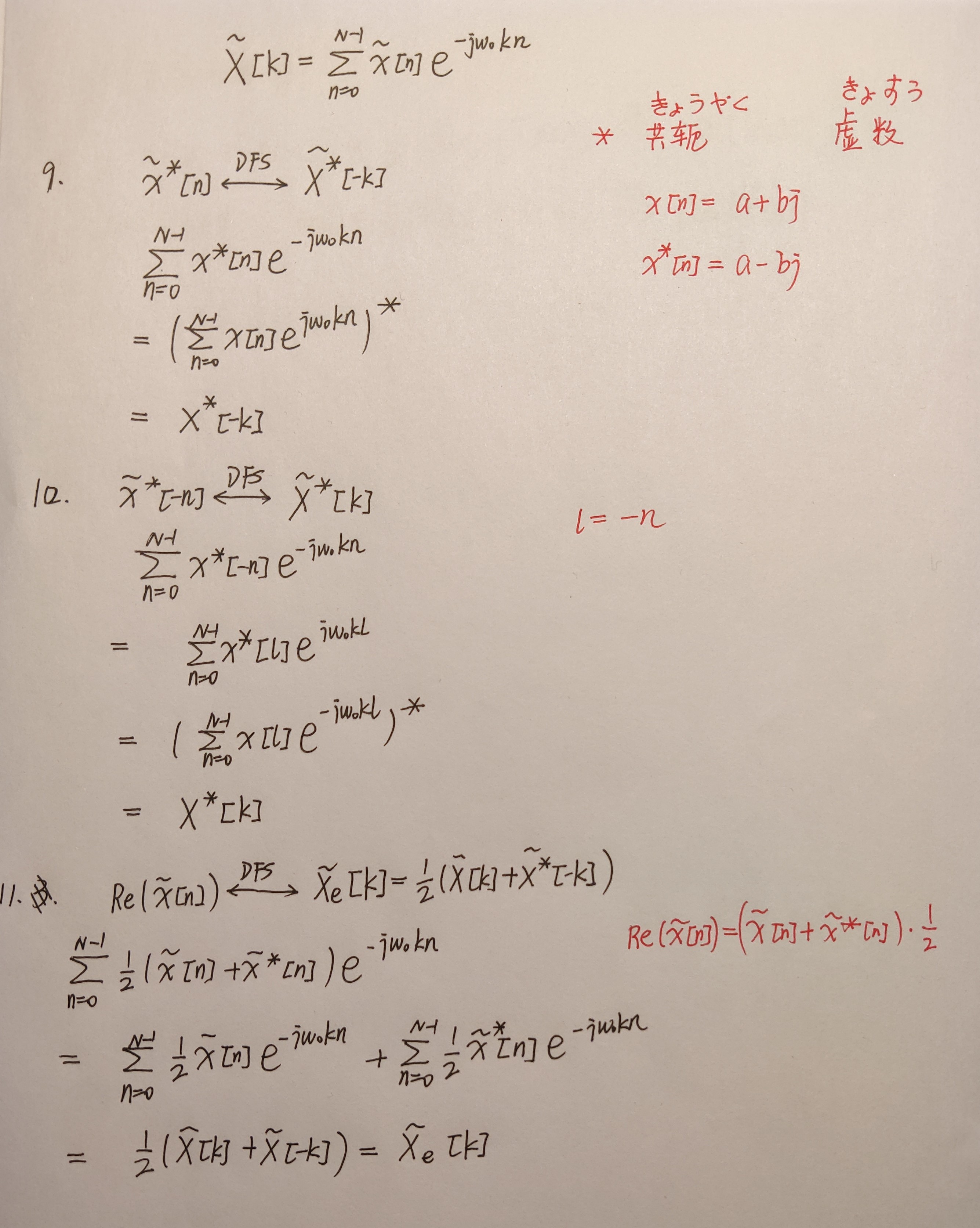
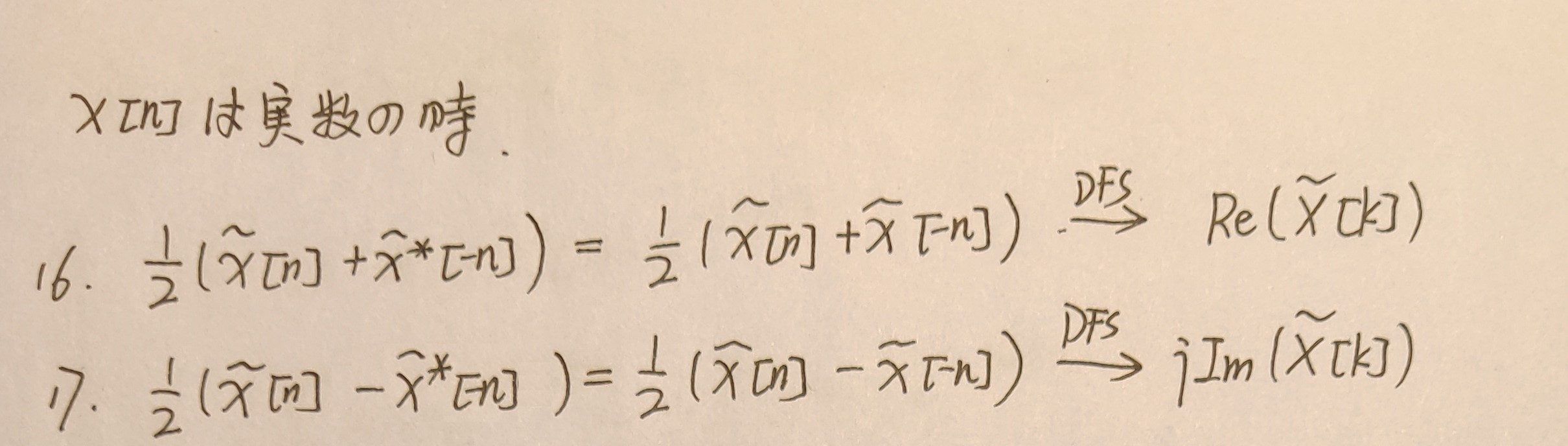
8.2.4 对称性
对称性及推导过程如下所示:



8.2.5 周期卷积
∑ m = 0 N − 1 x ^ 1 [ m ] x 2 [ n − m ] ⟷ D F S X 1 ^ [ n ] X 2 ^ [ n ] sum_{m=0}^{N-1}hat{x}_1[m]x_2[n-m]overset{DFS}{longleftrightarrow}hat{X_1}[n]hat{X_2}[n] m=0∑N−1x^1[m]x2[n−m]⟷DFSX1^[n]X2^[n]
x 1 ^ [ n ] x 2 ^ [ n ] ⟷ D F S 1 N ∑ l = 0 N − 1 X ^ 1 [ l ] X 2 [ k − l ] hat{x_1}[n]hat{x_2}[n]overset{DFS}{longleftrightarrow} frac{1}{N} sum_{l=0}^{N-1} hat{X}_1[l]X_2[k-l] x1^[n]x2^[n]⟷DFSN1l=0∑N−1X^1[l]X2[k−l]
8.2.6 周期序列DFS表示性质汇总

8.3 周期信号的傅里叶变换
最后
以上就是直率白猫最近收集整理的关于离散时间信号处理8-离散傅里叶变换8.1 周期序列的表示-离散傅里叶级数8.2 离散傅里叶级数的性质8.3 周期信号的傅里叶变换的全部内容,更多相关离散时间信号处理8-离散傅里叶变换8.1内容请搜索靠谱客的其他文章。
发表评论 取消回复