当你在分析inter-trial phase coherence / inter-trial phase clustering (ITPC) 时,你是否考虑过 ITPC 的分析会受到哪些因素的影响,ITPC 的结果该怎么解释?Diepen & Mazaheri (2018)在一篇文章中讨论了他们对 ITPC 分析的一些看法。鉴于此话题目前并没有最终结论,请各位看官辩证看待。以下是这篇的全部内容。
EEG 和 MEG 信号包含多个频带的振荡(即有节律性的)活动,其中最主要的振荡活动之一可能是α(8–12 Hz),主要在感觉系统(视觉,运动,听觉)中观察到。许多研究报告发现,在视觉、听觉和躯体感觉注意期间,感觉相关脑区的α活动幅度受到抑制,但在负责处理非注意信息的脑区中得到增加。这导致了这样一种推测,即通过抑制无关脑区来控制信息流向相关感觉区域,α 振荡幅度的增加在认知中发挥了调控性作用。目前许多研究一致表明,当刺激接近感觉阈限时,持续的振荡活动的相位角(使用 EEG/MEG 测量)在刺激呈现时会影响到刺激探测。然而,检验振荡相位角的调节是否受自上而下注意所控制的研究迄今为止产生了相互矛盾的结果。这种矛盾的一个来源可能是,持续振荡的相位估计及其在试次中的一致性可能会受到任务引起的振荡能量变化或并行诱发反应的影响。试次间相位锁定(Inter-trial phase-locking, ITPC) 或试次间相位角的均匀性,特别容易受到这些因素的影响。本文使用多种模拟方法对EEG文献中常见任务引起的变化进行建模,我们发现,振荡活动的试次间相位锁定(ITPC)的明显变化可能独立于其实际相位变化而发生。
除了α活动的幅度外,近期几项研究还发现,有证据表明 α 周期反映了高低兴奋性的状态,这对感知(取决于刺激到达的周期)以及对感觉刺激的诱发反应都有影响16。最近,一种有趣的可能性被提出来,即自上而下的加工,如注意力和预期,可以调节α活动的相位,作为一种机制来选择和优先考虑相关信息,或者反过来抑制无关信息。
然而,对这一假设的实证支持并不一致。一项支持该理论的研究发现,使用 EEG 测量的持续 α 活动的相位似乎受到可预测视觉目标的时间预期的干扰。具体而言,研究者观察到,预测视觉刺激到来的线索似乎在视觉刺激到来时将持续中的 α 活动的相位调整为“最佳”状态。
另一方面,我们小组使用类似的线索时间预期范式在三个独立的 EEG 实验中无法找到任何关于对正在进行的α活动相位调节的证据。在我们实验中的一个关键差异是,我们在“空白”捕捉试次中进行了相位分析,这些试次不包括视觉刺激的呈现,因而没有感觉诱发反应。正如我们将在此模拟研究的后续部分中展示的那样,这些瞬时诱发响应与感觉刺激开始锁相,可以严重混淆持续进行的振荡活动的相位估计。
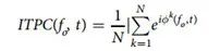
本模拟研究的目的是演示研究人员在量化事件相关相位扰动(即实验事件导致的相位调节程度)时面临的一些注意事项,这些注意事项也许能解释一些结果上的差异。试次间相位锁定(ITPC 或试次间相干/相位锁定因子)通常被用来报告事件相关相位调节的量化。一个接近 0 的 ITPC 值反映了跨试次相位角的高度可变性,而 ITPC 值为 1 则表明所有试次具有相同的相位角。
在这里,我们将首先探究对诱发反应的调节如何扭曲 ITPC 的估计。诱发反应的幅度或潜伏期差异可能导致 ITPC 值的差异,这些差异实际上并未反映持续进行的振荡的相位扰动。接下来,我们将研究相对于噪声,信号振荡的幅度如何调节ITPC。这项努力与相位扰动的研究特别相关,其中在不同条件下振荡活动的能量存在系统性差异。

| 图 1. 模拟的试次示例(A) 。每个试次由 (B) 频率为 ~10 Hz 的正弦曲线和随机相位 (C) 高斯白噪声和 (D)一个 ERP 成份组成。将具有“标准”ERP(黑线)时间段与具有较早峰值潜伏期(绿线)和较大振幅(粉红色线)的试次进行比较。 |
ERP振幅和潜伏期对刺激前ITPC的影响
视觉刺激的开始会在头皮上引起一些诱发反应,最早的 C1 成份发生在刺激后50-80 ms。C1的振幅一般被认为不受注意力等自上而下因素的影响,虽然一些证据似乎表明这也并不是确凿无疑的。在 C1 成份之后是 P1(~90-140 ms) 和 N1 (~150-180ms) 成份,它们的幅值在数量上已被发现受自上而下的因素调节,例如注意和预期。此外,一些研究表明,P1 和 N1 可能反映了注意的不同成分,P1 反映感觉输入的抑制以及N1反映感觉输入的放大。最后,应该指出的是,在猕猴的早期视觉皮层中发现了早在刺激后 27 ms的响应。
因此,来自诱发响应的时间泄露(temporal leakage)包含条件相关的潜伏期或振幅差异,可能会导致实际上并没有出现在持续振荡中的ITPC差异。因此,在刺激呈现前后比较条件间的 ITPC 是有问题的。我们在 Matlab(MATLAB R2014a,The MathWorks,Inc.,Natick,Massachusetts,United States) 中了模拟演示了这种现象。通过在 α 振荡上叠加 ERP 成份和高斯白噪声,创建了100个EEG 试次(见图 1)。
ERP 成份使用以下公式生成:

| (1)其中A是以 μV为单位的ERP幅值,f是以Hz为单位的频率,t是以毫秒为单位的时间,t0是ERP开始的时间,τ是 ERP 包络的指数衰减时间。在模拟中,ERP的频率为7 Hz,ERP的开始时间为t = 90 ms,τ= 50 ms。 |
持续进行的α振荡是使用以下方法创建的:

| (2)其中A是以μV为单位的信号幅值,f是以Hz为单位的频率,t是以毫秒为单位的时间,θ是以弧度为单位的相位。持续振荡的频率为10 Hz +/-一个随机标量(从标准正态分布中随机抽取,Matlab 中为 0.5* randn),并且每次试次的相位都是随机的。 |
这些“标准”试次与包含增大ERP幅值(1.2 × 标准振幅)试次和峰值潜伏期提前10 ms(t = 80 ms 对比 t = 90 ms)的试次进行了比较。请注意,“标准”、“较早”和“较大”的ERP 试次使用了相同的噪声模式和相位角,这意味着所有三个数据集的ITPC 应该相似。通过采用500 ms的Hann窗口,进行傅立叶变换并将结果除以其绝对值,计算t = 0 ms(“目标呈现”)时每个试次的相位角。ITPC根据以下公式,通过所有试次的相位角之和来表示:

| (3)其中N是试验次数,ϕk是当前试次中信号的局部相位角(以弧度为单位)。 |
在这里,每个条件进行了 20 个被试的 100 个试次模拟,将“标准”ERP 与具有更大 ERP 的模拟进行比较,结果发现目标呈现前后的 ITPC 存在差异(图 2A)。相关样本t检验显示,对于具有较大ERP的试次(t (19) = -32.3183,p = 4.5150 × 10−18)(0.2970 vs. 0.2593),10 Hz 振荡的 ITPC 在目标呈现时显著更高。与“标准”试次相比,具有较早峰值潜伏期的试次也在目标呈现前后的ITPC上存在显著差异(相关样本 t 检验(t(19)= -3.2602,p = 0.0014,具有较早ERP峰值潜伏期试次的 ITPC 更高)(0.2908 vs. 0.2593)(图2B)。为了推断ERP引起的ITPC差异有多普遍,该过程重复了1000次,并计算了10 Hz下出现显著差异的次数。条件间的ERP潜伏期差异导致 80.4% 的模拟在目标呈现时存在显著差异。幅值差异导致所有模拟的条件间ITPC均存在显著差异 (100%)。

| 图 2. ERP 幅度的小幅增加 (A) 或潜伏期的减小 (B) 导致目标呈现附近的 ITPC 增加。左侧面板显示了 20个模拟被试的总平均 ERP。右侧面板显示了两个ERP条件之间 ITPC 差异的总平均值。 |

| 图 3. 具有高能量 (A) 和低能量 (B) 振荡的单个试次。最上方(信号)显示纯正弦波。中间(噪声)是添加到两个正弦波的噪声。请注意,添加到两个正弦波的噪声是相同的。下面(信号 + 噪声)显示模拟的 EEG 试次,由噪声叠加在低能量和高能量正弦波之上组成。下图显示了低能量和高能量试次的相位估计。尽管两种条件下的相位角和噪声相同,但能量的差异在真实相位角周围引入了一个较小差异(两种条件下的 ITPC 均应为 1,即跨试次的完全均匀性)。 |
夹带和锁相
振荡活动的夹带被认为是大脑准备加工瞬时性可预测目标的一种机制(例如 Lakatos et al.,2017)。这里的潜在前提是,夹带调整振荡的相位角,使得目标呈现落在最佳相位内。然而,需要注意的是,在缺少实际相位调节的情况下,一个瞬时的自上而下信号也可能导致 ITPC 调节。对这个陷阱的支持来自Yeung et al.发现相位活动不能与相位重置分离开来。类似地,目标呈现前的瞬时活动可以促使ITPC增加(通过相位重置),当它锁时到瞬时性可预测刺激时。这种瞬时活动不需要与所测量ITPC的频率相同。当振荡不对称时(即,波峰比波谷更大),高频脉冲活动(A burst of spiking activity)的发放会导致缓慢的 ERF 或 ERP,从而增加较低频率的 ITPC。然后,时间泄漏将在比脉冲发放实际发生更晚的时间引入 ITPC。
振荡能量对 ITPC 的影响
能量(=振幅²)和相位角是数学上的独立变量。也就是说,振荡的相位不取决于其振幅,反之亦然。两种计算都包含傅里叶变换 (Fourier transform),为了得到振幅必须取绝对值,而对于相位角度则必须取弧度角(argument)。EEG信号由相位信号加背景噪声组成,信号振幅的变化会影响信噪比 (SNR)。如果噪声水平保持恒定,振幅较低的试次SNR更低,从而导致相位角估计困难。因此,能量差异可能导致 ITPC 差异(亦即,在某个时间点跨试次的相位角的变异性)。鉴于不同实验条件下的振荡能量可能不同,相位估计在一种条件下会比另一种条件下更精确。从而导致,基于 SNR 的 ITPC 差异并没有真实反映条件间的实验相关差异。图3显示了一个示例,其中相位角聚类差异的出现仅仅是由于两组试次之间的振荡能量差异。两种条件都包含一个10 Hz振荡,ITPC 为 1,但是,对于低能量条件,ITPC 估计为0.9966,而对于高能量条件,估计为0.9992。虽然这种差异看起来并不大,但由系统性能量差异引起的系统性ITPC差异最终可能导致不同条件下 ITPC 的显著差异。
为了证明在什么条件下会出现能量引起的 ITPC 差异,我们在不同 SNR、ITPC 和能量条件下重复了低能量和高能量10 Hz 振荡之间的 ITPC 比较。基于“高”和“低”α 振幅条件的 ITPC 从100 个试次中计算出来,并在 20 个模拟被试之间进行了比较。除了能量差异外,条件间的其他因素都保持不变:这意味着在低能量和高能量条件中添加了相同的噪声模式和随机相位。这是一个控制良好的实验,其中条件之间的 ITPC 差异只能归因于能量差异。

| 图4. 高能量和不同振幅低能量试次之间的ITPC对比。y 轴上增加的值表示条件间更大的能量差异。在高振幅条件下,固定振幅 A = 3 µV,而低能量条件下,振幅从A = 3 µV 下降到 A = 2 µV,步长为 0.1。颜色表示在高振幅和低振幅条件下产生显著更高ITPC模拟的百分比。 |
鉴于这些模拟旨在显示噪声对相位估计的影响,因此选择的噪声类型尽可能类似于 EEG 噪声。我们使用了 RafalBogacz 和 Nick Yeung(普林斯顿大学,2002 年 12 月)实现的真实EEG数据能量谱产生的噪声代替白噪声。我们在感兴趣的信号 (10 Hz) 的频率中没有使用噪声,因此10 Hz振荡的相位角得到完全控制。在不同的信噪比下进行了重复的模拟。从−100到100 dB(相对于高功率振荡)的信噪比水平通过按以下步骤缩放噪声进行研究:噪声归一化为零均值和单位方差。然后应用以下公式:

| (4)其中信号是高能量振荡,SNR 是指预期的信噪比。 |
相位角和 ITPC 是在时间 = 0 ms(试次的中心)时针对每个受试者的低能量和高能量条件计算的,如第 2 段所述,使用公式(3)。然后使用独立样本 t 检验在条件之间比较 ITPC值。此过程重复100 次以确保差异不是偶然发现。
小的能量差异会导致ITPC估计值的显著差异
在第一个模拟中,能量差异进行系统性地变化,以检验多大程度上的条件间能量差异才能产生ITPC差异。在这里,高能量条件下α活动具有A= 3 µV的固定振幅,并与连续的低能量条件进行比较,其幅值以0.1 µV步长降低。通过添加一个从标准正态分布中抽取的随机标量(在Matlab 中,0.5 * randn),将抖动(jitter)添加到两个条件的振幅上。模拟试次的平均 ITPC 为0.51 (sd =0.04)。
导致低α功率和高α功率条件间 ITPC 显著差异的模拟百分比如图4中的颜色编码所示。正如预测的那样,高能量试次的 ITPC 值大于低能量试次的 ITPC 值。差异出现在-40 dB与0 dB的信噪比之间。低信噪比水平(-40 dB以下)没有差异可以解释为,在两种条件下,信噪比都太低,导致无法进行相角估计。高 SNR 水平(0 dB以上)的ITPC没有差异可能意味着噪声对相位估计没有影响。
条件间能量的差异不需要很大,就可以发现如图4所示的显著差异,0.1 µV的区别(A = 3 µV与A = 2.9 µV)已经导致明显差异,而且当差异增加到0.2 µV(A = 3 µV与A =2.8 µV)时,ITPC 差异开始保持稳定。当振幅相似(两个A = 3 µV)时,ITPC差异很小,可能是因为两种条件下的振幅都包含随机抖动,这使得不同条件下的幅度可能略有不同。

| 图 5.不同相位锁定(phase locking)条件下,高和低能量试次间的ITPC比较。在高、低能量试次中,相位角是相同的,但ITPC是变化的。低能量和高能量条件下的能量保持不变,振幅分别为2.7µV和3.3µV。颜色代表了在高低α能量条件下导致显著更高的ITPC估计的模拟百分比。 |
在大多数相位锁定水平下噪声对 ITPC 估计的影响
在第二次模拟中,能量差异保持恒定,在不同ITPC下重复分析(亦即,比较条件间的相位角相同,但使用不同的 ITPC 进行重复分析)。通过改变 θ(相位角,见方程 2)的可能范围来改变 ITPC。在 11 个步宽下(图5纵坐标),相位的可能区间从[0-0] 到 [0-2π],创建了从 0 到 1 的 ITPC 块(bins)(如图5所示)。高低振荡的振幅基于我们自己的一项 EEG 实验中的两种注意条件之间α活动的能量差异。这导致在低能量和高能量条件下的振荡幅度分别为 2.7 µV 和 3.2 µV,额外加上上一节所述的抖动(jitter)。
如图5所示,能量引起的ITPC 差异存在于多数相位锁定(phase locking)水平下,并且随着试次间相位锁定的增加而增加。请注意,y轴并不代表ITPC的差异,而是两种情况下的实际ITPC值。

| 图6.(A)EEG信号被认为主要反映锥体神经元顶端树突的同步突触后电位,在空间上对齐并垂直于皮层表面。在顶端树突内的电流是“偶极的”(dipolar),因此邻近神经元的活动的总和可以看作是一个偶极子(dipole)。(B) 同一脑区但不同方向的偶极子,会在头皮上产生不同的地形分布。(C) 同一脑区中的偶极子产生的振荡活动,在头皮处测量时,具有不同的方向将导致具有不同的绝对相位。这个图是使用 BESA Simulator制作 |
结论
尽管相位角扰动是许多电生理学研究的主题,但由于结果之间缺乏共识,因此缺乏结论性报告。先前的动物研究表明,对特定感觉流(对感觉流中的刺激)的注意能够放大神经元的响应,通过调整持续振荡的相位,使其在预期的刺激开始时处于最佳兴奋周期。近期,已有研究在人类MEG研究中观察到了这种现象的证据。应该指出的是,这项人类实验工作的可重复性面临着特殊的挑战。这是因为当数据在相对于实验事件进行分段时,产生振荡活动的偶极子朝向变化将在被试之间转化为不同的绝对相位。图6是对此的简单说明,我们模拟了来自同一脑区的振荡活动,但信号源(generators)具有不同的偶极子方向。在研究持续振荡的绝对相位与实验事件的关系时,这种情况可能得不到任何结果。规避此类问题的一种方法是从溯源重建信号中检查振荡活动的相位。这些模拟采用Besa Simulator完成,它可用于模拟头皮水平的电生理活动。
ITPC 也可以通过不关注相位角,而是关注它们的聚类(即均匀性)来避开这个问题。但是,这种方法也容易引起一些警惕(caveats),尤其是当在不同条件之间比较ITPC时。模拟表明,相位角估计会受到不必要因素的影响,例如振荡能量、ERP潜伏期和ERP幅度。诱发反应的时间泄漏可能增加试次之间的相位锁定。具有相对较大振幅的振荡具有更好的SNR,从而导致更好的相位估计和更小的变异性,更高的 ITPC 估计值。尽管乍一看影响似乎很小,但当由于注意差异或任务需求而导致能量或诱发反应系统性不同时,这可能会导致不同条件下的 ITPC 差异显著。因此,当存在能量或ERP差异时,解释 ITPC 差异应谨慎行事。
我们提倡采取一些措施来减少因能量差异导致错误发现发生的可能性。例如,Cohen (2014)建议在某些时间点或通道内没有能量差异的情况下去检验 ITPC 差异。此外,重要的是,使用非基线校正的频率数据来检验能量差异。模拟表明,能量差异通过 SNR 不同导致估计相位角的能力不同。基线校正可独立于噪声来调整信号的振幅(感兴趣的频率)。这意味着基线校正数据不是 SNR 的反映。
诱发反应的条件特异性差异对ITPC的影响有时会被忽视。例如 Samahaet al.发现,在正确与不正确的试次中,ITPC 在目标呈现时存在差异。这意味着不可能确切地排除这样一种可能性,即他们观察到的由时间预期所调节的持续α活动的相位角,也可以用 ERP 振幅和/或潜伏期的差异来解释,这些差异由试次间注意状态的不同所引起。我们主张在对相位变化做出结论性陈述之前,应排除 ERP 幅度或潜伏期的任何差异。完全消除诱发反应影响的一种方法是添加一些额外试次,其中包含有被预期但实际上并未出现的目标(如Van Diepen et al., 2015所建议的那样)。
Bonnefond和他的同事在一项研究中进行了额外的分析,以排除条件之间由能量引起的ITPC差异(Bonnefond et al., 2012)。该实验的目标是在具有时间可预测刺激呈现的任务中,与弱干扰条件相比,强干扰条件下会表现出增加的试次间相位锁定(ITPC)。在不同的干扰条件下确实发现了ITPC的差异,然而,同时也发现了振荡能量的差异。为了排除能量差异驱动相位效应的可能性,ITPC 值与能量做了相关。具体而言,检验了个体持续振荡能量与 ITPC 值之间的相关性,以及弱干扰和强干扰条件下 ITPC、能量差异的相关性。此外,还计算了单试次能量与相对于平均相位的单试次相位偏差的 Spearman 相关性。最后,根据α能量将试次分为四分位数,并对伴随的 ITPC 值进行趋势分析。系统相关性或(明确的)趋势的缺失作为证据被解释为 ITPC 条件之间的差异不能简单地用振荡能量的差异来解释。
我们建议未来的工作除了报告条件间 ITPC 对比的 p 值外,还报告每个条件下的绝对 ITPC 值,以便读者评估效果的大小。最后,我们建议应该开发可以直接检测相位调节(phase-adjustment)的新措施。目前只是检验相位调节的间接结果:在某个时间点ITPC的差异。相反,人们可以寻找更直接的证据表明振荡正在加速或减速,以便达到最佳相位。
为了模拟,必须选择许多参数。ITPC、SNR、振荡能量和试次间能量的变化、Hann锥形窗口长度等。它们尽可能根据我们自己的数据进行选择,但使用其他参数的不同实验可能会产生不同的结果。此外,在真实的EEG 数据中,能量和ERP的差异可能不是系统性的,从而降低了 ITPC 差异的可能性。尽管如此,至少在一些参数上发现的显著差异表明这是一个应该考虑的问题。因此,为了在检验相位锁定的研究中获得更多的一致性,当能量或 ERP 存在系统差异时,应避免在条件之间进行直接的 ITPC 比较。
原文可以联系工程师 17373158786 索要~
更多脑电知识,请持续关注更新~
最后
以上就是风中荔枝最近收集整理的关于计算 ITPC 你需要知道这些……的全部内容,更多相关计算内容请搜索靠谱客的其他文章。
发表评论 取消回复