决策树(Decision Tree,简称:DT)
决策树精选幕布 @转载
基本的介绍:
顾名思义,决策树这个名字可以分为两部分:决策和树。
决策规则:
分类(离散值):样本标签少数服从多数
回归(连续值):所有样本的均值
树:这个算法模型是以树状的形态进行表示的。
决策树是一个有监督算法,它既可以作为分类算法,也可以作为回归算法。
决策树的生成只考虑局部最优,相对的,决策树剪枝则考虑全局最优。
概念:
决策树:是一种树形结构,其中每个内部节点表示一个属性上的判断,每个分支代表一个判断结果的输出,最后每个叶节点代表一种分类结果,本质是一棵由多个判断节点组成的树。
常见的决策树类型:

所以接下来介绍一些决策树算法,将从以下5个方面来介绍:
ID3
C4.5
CART
剪枝
决策树的优缺点
ID3的定义
ID3算法是1986年由Quinlan首先提出的,该算法是以信息论为基础,以信息熵和信息增益为衡量标准,从而实现对数据的归纳分类。是生成最小的树型结构,而是一个启发式算法。
1. 信息熵
简介:熵这个概念最早起源于物理学,在物理学中是用来度量一个热力学系统的无序程度,而在信息学里面,熵是对不确定性的度量。在1986年,香农引入了信息熵,将其定义为离散随机事件出现的概率,一个系统越是有序,信息熵就越低,反之一个系统越是混乱,它的信息熵就越高。所以信息熵可以被认为是系统有序化程度的一个度量。
公式:

其中pi为第i个类别的概率,S是样例集合
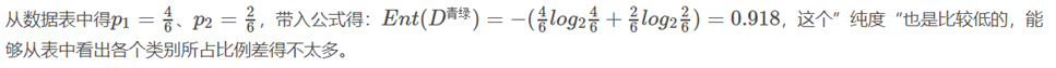
举例:
全部的西瓜数据集共有17个好坏样本。



即香浓熵为: 0.998
2. 信息增益
公式:











在这里根蒂、脐部、触感三个属性均取得了最大的信息增益,可任取其中之一作为划分属性,再次划分得到子分支。
就这样不断的划分,直到遇到终止条件:
当前节点包含的样本全属于同一类别,无需划分;
当前属性集为空,或是所有样本再所有属性上取值相同,无法划分;
当前节点集合包含的样本集合为空,不能划分。

总结:
ID3算法的核心是在决策树各个子节点上应用信息增益准则选择特征,递归的构建决策树,具体方法是:从根节点开始,对节点计算所有可能的特征的信息增益,选择信息增益最大的特征作为节点的特征,由该特征的不同取值建立子节点;再对子节点递归调用以上方法,构建决策树。
ID3算法只有树的生成,所以该算法生成的树容易产生过拟合,分得太细,考虑条件太多。
ID3 算法的缺点
1.用信息增益选择属性时偏向于选择分枝比较多的属性值,即取值 多的属性。
2.不能处理连续属性。
C4.5的定义
C4.5算法与ID3算法相似,C4.5算法对ID3算法进行了改进。
CART的定义
CART(classification and regression tree):分类与回归树,既可以用于分类也可以用于回归。
常见决策树类型及剪枝
1为什么要剪枝
一般情况下,决策树会将模型分成最优的形式,所以会导致过拟合现象的发生,所以进行剪枝处理
原因1: 噪声、 样本冲突, 即错误的样本数据。
原因2: 特征即属性不能完全作为分类标准。
原因3: 巧合的规律性, 数据量不够大。
2常用的剪枝方法
**预剪枝:**提前处理,计算量小
主要有三种:
(1)每一个结点所包含的最小样本数目,例如10,则该结点总样本数小于10时,则不再分;
(2)指定树的高度或者深度,例如树的最大深度为4;
(3)指定结点的熵小于某个值,不再划分。随着树的增长, 在训练样集上的精度是调上升的, 然而在独立的测试样例上测出的精度先上升后下降。
后剪枝,在已生成过拟合决策树上进行剪枝,可以避免欠拟合,计算量大。
主要有四种:
(1)REP-错误率降低剪枝
(2)PEP-悲观剪枝
(3)CCP-代价复杂度剪枝
(4)MEP-最小错误剪枝
结论:
决策树的剪枝,由于生成的决策树存在过拟合问题,需要对它进行剪枝,以简化后学到的决策树。决策树的剪枝,往往从已生成的树上剪掉一些叶节点或叶节点以上的子树,并将其父节点或根节点作为新的叶节点,从而简化生成的决策树模型。
ID3不能剪枝
C4.5和CRAT都可以剪枝
决策树的优缺点
决策树的优点:
(1)具有可读性,如果给定一个模型,那么过呢据所产生的决策树很容易推理出相应的逻辑表达。
(2)分类速度快,能在相对短的时间内能够对大型数据源做出可行且效果良好的结果。
决策树的缺点:
(1)对未知的测试数据未必有好的分类、泛化能力,即容易发生过拟合现象,此时可采用剪枝或随机森林。
最后
以上就是斯文老虎最近收集整理的关于决策树(Decision Tree)总结决策树(Decision Tree,简称:DT)的全部内容,更多相关决策树(Decision内容请搜索靠谱客的其他文章。
发表评论 取消回复