秩 (I)
对任意矩阵 作一系列初等行、列变换, 都可以将其化为一个标准形
问题 4.65 下列结论等价:
(1) 存在初等矩阵 使得
(2) 存在可逆矩阵 使得 .
为了方便, 我们称矩阵 为相抵的, 如果 可以由 经过一系列初等 行、列变换得到.
用相抵的语言来说, 任意矩阵 都与某个 相抵, 这样的 称为 在相抵下的标准形. 从矩阵初等变换的过程来看, 的标准形的唯一性并不明显. 不过, 数学是美的, 更是和谐的, 我们的确有
问题 4.66 矩阵 的在相抵下的标准形 是唯一的, 称 为 的秩, 记为 .
只需证明: 若 与 相抵, 则 . 利用相抵的定义和分块矩阵乘法不难得到.
矩阵的秩是矩阵的非常重要的不变量, 有很多的应用. 首先我们利用标准形和秩给出矩阵相抵的若干等价条件.
问题 4.67 设 , 则下列结论等价:
(1) 与 相抵;
(2) 存在初等矩阵 使得
(3) 存在可逆矩阵 使得 ;
(4) 有相同的标准形;
(5) .
利用矩阵的秩, 我们很容易给出矩阵可逆的另一个判别法则.
问题 4.68 设 , 则 当且仅当 可逆当且仅当.
这样, 我们把方阵的行列式与秩建立了一个比较松散的联系. 对于一般的矩阵, 如果 是方阵, 可能为零; 如果 不是方阵, 无法定义行列式. 此时, 行列式似乎与秩的关系不大了. 然而, 事情并不是这样的. 我们先来看一个简单而有趣的例子.
问题 4.69 设 不全为零, 试求 的秩.
问题并不难, 不过其中隐含了很多东西, 例如如下提到的 (I)-(VII) 共七个方面的问题.
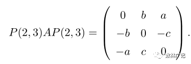
(I) 首先注意到 的地位是一样的. 我们通过初等变换把 或 的位置与 互换. 例如, 第 列互换就把第一行的 的位置互换了. 不过, 我们最好立刻把第 行换了, 这样的效果用矩阵语言来表述就是

这样作完后得到的还是反对称矩阵(为什么?)
(II) 初等变换是计算矩阵的秩的常规方法. 将 的前两行互换, 第一行乘以, 第二行乘以 , 就能得到两个 , 再利用这两个 可以把前两行和前两列的其他元素都化为零, 从而把 化成对角形
仔细计算一下可得右下角的 是零! 由此所有的 的秩都是 , 这个结论有一点奇怪.
(III) 上面的 其实不用计算就可以知道是零, 原因是反对称矩阵的行列式有独特的性质.
问题 4.70 设 , .
(1) 若 为奇数, 则 ;
(2) 若 为偶数, 则 为一个以 为变量的多项式的平方. 特别地, 如果 , 则 .
由此, 是三阶反对称矩阵, 自然不是可逆的, 从而 .
(IV) 从分块矩阵的角度来看, 记, 其中
这样, 利用 可逆, 我们可以作分块矩阵的初等变换把 和 化为零. 具体过程为
其中,
,
容易得到, 从而计算得 . 前面也说过了, 不用计算而直接利用行列式也能得到 . 实际上我们还有其他方法得到这一点. 只需注意到 是反对称的, 于是 也是反对称的. 于是

故 .
这里的想法有点奇怪, 对一阶矩阵也就是一个数取转置竟然有意想不到的效果! 这个方法实际上证明了如下更一般的结论.
问题 4.71 设 是反对称矩阵, 则对任意 有 .
(5) 我们在回顾一下 (4) 中的做法. 其中比较隐蔽的是矩阵 的关系! 小心计算一下我们会发现一个奇怪的结论:于是 . 而 是反对称矩阵!
问题 4.72 设 是反对称矩阵, 则对任意 , 也是反对称矩阵.
这个问题实际上是上一个问题的推广. 特别地, 我们以后会关注重点关注 为可逆矩阵的情形, 此时, 称 与 是合同的. 合同是一类特别的相抵, 它保持矩阵的反对称性, 也保持对称性.
对于我们的情形, 是三阶反对称矩阵, 其对角线上的元素自然都是 , 即 .
(VI) 对于一般的反对称矩阵, 我们也可以用上述方法作初等行列变换, 使得左上角的二阶矩阵是可逆的, 这样就同样可以作初等变换. 于是可得
问题 4.73 证明: 反对称矩阵的秩一定是偶数.
(VII) 上述过程的分块矩阵技巧很有用, 可以推广到一般非反对称矩阵情形.
问题 4.74 , 其中 可逆, 证明:
利用这个结论我们有
问题 4.75 设 , 的某个 阶子式非零, 则 .
反之, 我们有
问题 4.76 , 的所有 阶子式都是零.
(1) 对 作任何一种初等行列变换, 得到的矩阵的所有 阶子式也是零;
(2) 的标准形的所有 阶子式也是零, 从而 .
上述结论综合在一起, 我们就得到了用行列式来刻画一般矩阵的秩的方法.
问题 4.77 设 , 则 当且仅当 的某个 阶非零, 且 的所有 阶子式都是零.
有了如上秩的判别法, 如下问题就不难了.
问题 4.78 设 , 证明:
(2) 若 , 则 .
我们稍微停一下. 目前为止, 我们遇到了矩阵中的好几种变换. 在对可逆矩阵作初等变换的时候, 我们偶然间发现了相似的概念, 即
研究矩阵的初等变换下的标准形时, 我们有相抵的概念, 即
在上面的讨论中, 我们又发现了合同的概念, 即
上面的 都是可逆矩阵. 这样, 我们在短时间内发现了矩阵里面的三个主要关系, 其中的相抵是最基本的, 相似和合同实际上是特殊的相抵. 它们有各自的特点, 也有一些共性, 比如如下的性质, 这也是多项式的同余关系和整数中的同余关系所满足的.
问题 4.79 矩阵的相抵(相似、合同)是等价关系, 即它具有如下性质:
(1) 反身性: 对任意矩阵 , 与自身相抵;
(2) 对称性: 设 与 相抵, 则 与 也相抵;
(3) 传递性: 设 与 相抵, 与 相抵, 则 与 也相抵.
最后
以上就是风中裙子最近收集整理的关于可逆矩阵性质总结_高等代数教学笔记4:矩阵 V的全部内容,更多相关可逆矩阵性质总结_高等代数教学笔记4:矩阵内容请搜索靠谱客的其他文章。
发表评论 取消回复