【前言】
今天是力扣打卡第9天!
Fighting!!

原题:二叉搜索树的范围和
题目描述:
给定二叉搜索树的根结点 root,返回值位于范围 [low, high] 之间的所有结点的值的和。
示例1:
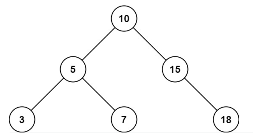
输入:root = [10,5,15,3,7,null,18], low = 7, high = 15
输出:32
示例2:

输入:root = [10,5,15,3,7,13,18,1,null,6], low = 6, high = 10
输出:23
题解:
做递归题目就是将每一层执行的递归图画出来,不能懒,画出来去感受,用不了几题,你会发现递归的解法真的很妙。
代码执行:
/**
* Definition for a binary tree node.
* struct TreeNode {
* int val;
* struct TreeNode *left;
* struct TreeNode *right;
* };
*/
int rangeSumBST(struct TreeNode* root, int low, int high){
//方法一:递归法
//找边界
if(root == NULL){
return 0;
}
//左子树
int leftSum = rangeSumBST(root->left, low, high);//有点分治的味儿了
//右子树
int rightSum = rangeSumBST(root->right, low, high);
int result = leftSum + rightSum;
//判断根节点值
if(root->val >= low && root->val <= high){
result += root->val;
}
return result;
}
复杂度分析:
时间复杂度:O(N)----二叉搜索树节点的个数
空间复杂度:O(N)----递归调用栈的深度
总结:
今天是力扣打卡第9天!
时光不老,我们不散,咱们明天再见!!
送给每一位为梦想坚持的小友们!!!

最后
以上就是甜甜麦片最近收集整理的关于【手把手带你刷LeetCode】——09.二叉搜索树的范围和(递归法)原题:二叉搜索树的范围和的全部内容,更多相关【手把手带你刷LeetCode】——09.二叉搜索树内容请搜索靠谱客的其他文章。
本图文内容来源于网友提供,作为学习参考使用,或来自网络收集整理,版权属于原作者所有。
发表评论 取消回复