我是靠谱客的博主 沉静发卡,这篇文章主要介绍滤波器基础05——巴特沃斯、切比雪夫与贝塞尔滤波器,现在分享给大家,希望可以做个参考。

滤波器基础系列博客,传送门:

滤波器基础01——滤波器的种类与特性

滤波器基础02——滤波器的传递函数与性能参数

滤波器基础03——Sallen-Key滤波器、多反馈滤波器与Bainter陷波器

滤波器基础04——全通滤波器

滤波器基础05——巴特沃斯、切比雪夫与贝塞尔滤波器

滤波器基础06——滤波器设计软件


前言

通常,滤波器模块或芯片通常会这样来描述自己,如5阶巴特沃斯低通滤波器,2阶切比雪夫滤波器,4阶贝塞尔滤波器,这些初看很奇怪的称呼其实是表达出了这些滤波器的一些关键特性。

巴特沃斯、切比雪夫等可统称为函数型滤波器。本博文将介绍这些函数型滤波器的定义与滤波器特性的区分。


一. 滤波器的零点与极点

滤波器传递函数如下:
H ( s ) = A m × 1 + m 1 s + m 2 s 2 + . . . + m m s m 1 + n 1 s + n 2 s 2 + . . . + n n s n Hleft( s right) =A_mtimes frac{1+m_1s+m_2s^2+...+m_ms^m}{1+n_1s+n_2s^2+...+n_ns^n} H(s)=Am×1+n1s+n2s2+...+nnsn1+m1s+m2s2+...+mmsm
此传递函数可改写与零极点的形式:
H ( s ) = K ∗ ( s − z 1 ) ( s − z 2 ) ⋯ ( s − z m ) ( s − p 1 ) ( s − p 2 ) ⋯ ( s − p n ) Hleft( s right) =K^*frac{left( s-z_1 right) left( s-z_2 right) cdots left( s-z_m right)}{left( s-p_1 right) left( s-p_2 right) cdots left( s-p_n right)} H(s)=K(sp1)(sp2)(spn)(sz1)(sz2)(szm)
其中, z j ( j = 1 , 2 , ⋯   , m ) z_jleft( j=1,2,cdots ,m right) zj(j=1,2,,m)为传递函数分子多项式等于零的根,称为传递函数的零点; p i ( i = 1 , 2 , ⋯   , n ) p_ileft( i=1,2,cdots ,n right) pi(i=1,2,,n)为传递函数分母多项式等于零的根,称为传递函数的极点; K ∗ K^* K称为传递系数。

传递函数有零点的滤波器称为零点滤波器,同样的,传递函数仅有极点的滤波器称为全极点滤波器。

像双极点滤波器,意思就是说此滤波器没有零点仅有两个极点,双极点也就等同于分母的阶数为二,所以双极点滤波器也就是一个无零点的二阶滤波器。


二. 全极点滤波器

一般来说,要构造出零点,滤波器电路就会比较复杂,所以,我们常用的都是全极点滤波器。

像巴特沃斯滤波器、切比雪夫滤波器、贝塞尔滤波器均属于全极点滤波器。

而反切比雪夫滤波器、椭圆滤波器则属于零点滤波器。

2.1 全极点低通滤波器

以二阶低通滤波器为例,传递函数为:
H ( j ω ) = A m × 1 1 + 1 Q ω 0 j ω + 1 ω 0 2 ( j ω ) 2 = A m × 1 1 + 1 Q j ω ω 0 + ( j ω ω 0 ) 2 Hleft( jomega right) =A_mtimes frac{1}{1+frac{1}{Qomega _0}jomega +frac{1}{{omega _0}^2}left( jomega right) ^2}=A_mtimes frac{1}{1+frac{1}{Q}jfrac{omega}{omega _0}+left( jfrac{omega}{omega _0} right) ^2} H()=Am×1+Qω01+ω021()21=Am×1+Q1jω0ω+(jω0ω)21
x = ω / ω 0 x={{omega}Big/{omega _0}} x=ω/ω0,那么上式可以改写为:
H ( j ω ) = A m × 1 1 + 1 Q j x + ( j x ) 2 Hleft( jomega right) =A_mtimes frac{1}{1+frac{1}{Q}jx+left( jx right) ^2} H()=Am×1+Q1jx+(jx)21
这就是归一化低通滤波器的表达式。

根据Q值不同,低通滤波器可分为三种:
Q < 1 2 , 贝塞尔型 Q = 1 2 , 巴特沃斯型 Q > 1 2 , 切比雪夫型 Q<frac{1}{sqrt{2}}, text{贝塞尔型} \ Q=frac{1}{sqrt{2}}, text{巴特沃斯型} \ Q>frac{1}{sqrt{2}}, text{切比雪夫型} Q<2 1,贝塞尔型Q=2 1,巴特沃斯型Q>2 1,切比雪夫型
巴特沃斯滤波器最明显的特征是它的特征频率等于截止频率。它的通带平坦,没有起伏,过渡带下降速度一般。因为Q是个定值,所以巴特沃斯滤波器的电阻电容间的比例是唯一的。由于特性比较优秀,参数唯一,设计方便,巴特沃斯滤波器应用非常广泛。

贝塞尔滤波器在特征频率处的幅值小于0.707,低通滤波器信号的幅值是随着频率增大越来越小的,所以贝塞尔滤波器的截止频率小于特征频率。贝塞尔滤波器的过渡带比巴特沃斯还要缓慢,看起来它没什么优点,在幅频特性上确实是这样,但贝塞尔滤波器的相频特性优秀,它的通带群延时是最低的,这意味着贝塞尔滤波器可以有效减小通带信号失真,这是它最大的优点。

切比雪夫滤波器在特征频率处的幅值大于0.707,它可以是1甚至更大,它拥有最陡峭的过渡带。在通带内,切比雪夫滤波器具有隆起,且Q越大,隆起越大。

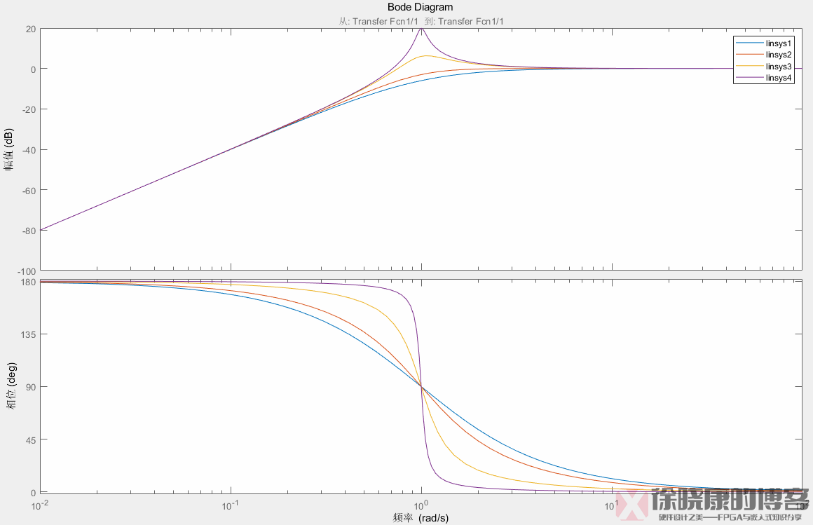
在Simulink中写出不同Q值的归一化传递函数,对于不同的函数型滤波器,它们的归一化传递函数如下图所示。

分别对应Q=0.5(贝塞尔),Q=0.707(巴特沃斯),Q=2(切比雪夫),Q=10(切比雪夫)。

Bode图:

可见,随着Q值的增大,幅频特性越来越陡峭。

LTspice仿真二阶SK型低通滤波器如下图所示。通过改变电容C2的值来改变Q值,即可实现巴特沃斯、切比雪夫与贝塞尔这三种滤波器。

所以说,这三种函数型滤波器并不是电路结构不同,而是电路元件参数不同

2.2 全极点高通滤波器

类比于极点低通滤波器,极点高通滤波器同样可根据Q值划分为:贝塞尔型,巴特沃斯型,切比雪夫型。在simulink中写出它们的高通归一化传递函数,如下图所示。

Bode图:

可见,这三种高通函数型滤波器的特征和低通是完全一样的,Q值影响的是幅频特性隆起的大小,Q越大隆起越大。

2.3 全极点带通滤波器

在Simulink中写出三种归一化极点带通滤波器的传递函数如下:

Bode图:

2.4 全极点带阻滤波器

在Simulink中写出三种归一化极点带阻滤波器的传递函数如下:

Bode图:

2.5 全极点全通滤波器

在Simulink中写出三种归一化极点全通滤波器的传递函数如下:

Bode图:


三. 零点滤波器

零点滤波器包括逆切比雪夫滤波器,椭圆滤波器等,电路复杂,应用较少,此处忽略。


四. 参考

滤波101: 切比雪夫滤波器与巴特沃兹滤波器与贝塞尔滤波器_哔哩哔哩_bilibili


徐晓康的博客持续分享高质量硬件、FPGA与嵌入式知识,软件,工具等内容,欢迎大家关注。

最后

以上就是沉静发卡最近收集整理的关于滤波器基础05——巴特沃斯、切比雪夫与贝塞尔滤波器的全部内容,更多相关滤波器基础05——巴特沃斯、切比雪夫与贝塞尔滤波器内容请搜索靠谱客的其他文章。

本图文内容来源于网友提供,作为学习参考使用,或来自网络收集整理,版权属于原作者所有。
点赞(168)

评论列表共有 0 条评论

立即
投稿
返回
顶部