天线的基本参数
- 天线的基本参数比较常用的就那几个,而且网上或者书籍都有很详细的描述,读者也可自行查阅对比;
- 笔者学识有限,这里就做个简单的介绍,也是一篇干货,大家参考参考吧
1.方向图和方向系数
1. 天线方向图
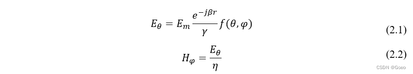
- 天线的方向图是通过空间坐标来描述天线辐射特性的函数,天线向外辐射能量,一般研究天线的远场区,因此又称为远场方向图。方向图可以通过方向图函数计算得出,线极化天线的远区辐射电磁场如式(2.1)和(2.2):

式(2.1)中, E_θ为电场在θ方向上的分量,单位为V/m;E_m是一个定值,只与外部激励有关;r表示天线远场区中某一点到天线上某点的距离;相位常数 β=2π/λ,方向图函数f(θ,φ)。式(2.2)中H表示磁场强度,H_φ为磁场在φ方向上的分量,单位为A/m,自由空间波阻抗η=120π;可见,天线方向图表示远场区球面上的场强分布。
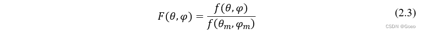
由式(2.1)和(2.2)可知, f(θ,φ)是不变的,因此我们常用归一化方向图函数来描述天线辐射场。而归一化方向图函数如式(2.3):

式(2.3)中,(θ_m,φ_m )是天线在θ、φ方向的最大辐射方向,f(θ_m,φ_m )是天线在θ、φ方向的最大辐射方向时的方向图函数。 - 一个八木天线的三维方向图如图2.1所示:

工程上常用E面和H面,即通过天线最大辐射方向,且平行于电场矢量的平面定义为E面,平行于磁场矢量的平面定义为H面。
如图2.1,他的最大辐射方向必然经过y轴,所以他的E面和H面也必然经过y轴,无非就是XOY或者YOZ,在根据场强判断对应的面即可。
2.方向性系数
- 方向性系数用来描述天线方向性的强弱。
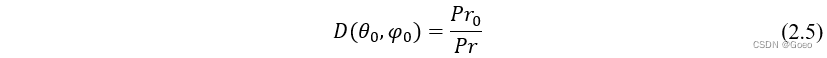
- 定义1:相同辐射功率Pr条件下,某方向上天线的辐射强度U(θ_0,φ_0 )与理想点源天线在同一方向的辐射强度U_0 (θ_0,φ_0 )之比。

- 定义2:某方向上产生相同电场强度下,理想点源天线的辐射功率Pr0与某天线辐射功率Pr之比,如公式(2.5)所示:

- 方向系数最终如式(2.6),式(2.7)为归一化方向图函数式表示的方向性系数:

笔者的理解是:理想点源天线是全向的,就是说他每个方向辐射大小都一样,那他的辐射强度就不会很高;而一个有向天线,他不是每个方向的辐射强度都一样,他可能在某个方向上的辐射强度是点源天线的好几倍,其他方向可能还不如点源天线,所以我们常用最大的辐射方向去比较。
2.天线的输入阻抗
- 天线的输入阻抗Z_ⅈn取决于系统的工作频率,除此之外还与外界因素有关,Z_ⅈn的表达式 (2.8)所示:

- 式(2.8)中I_ⅈn和V_ⅈn分别为天线输入端电流、电压,输入电阻R_in,输入电抗X_ⅈn。R_in包含辐射电阻R_r和热损耗电阻R_l,两者的关系如公式(2.9)所示:

- 天线的输入阻抗值在工程上可以用来表征天线与外部电路连接的匹配程度。
3.天线的带宽
- 在某个频率范围宽度中各项参数均满足规定的指标要求时,这个宽度即为天线带宽。这些规定的指标可以是小于一个特定值的驻波比(VSWR)或反射系数。天线带宽表示方法有绝对带宽、相对带宽和倍频带宽。
- (1)绝对带宽Δf:可以用天线的上边频与下边频的差值来表示,通过式(2.10)计算得到:

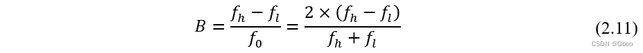
- (2)相对带宽B:天线的绝对带宽∆f与中心频率f_0的比值,通过式(2.11)计算得到:

- (3)倍频带宽:天线工作频率上限与工作频率下限之比,通过式(2.12)计算得到:

式(2.12)中n为倍频带宽的表示方法,为n个倍频程;
工程上通常用-10dB带宽,而终端天线上-5dB带宽就可以,NFC天线的带宽通常又是最低谐振点高3dB的带宽,终端天线更多的是关注效率。
4.反射系数、驻波比
-
通常使用网分端口来给天线馈电,若天线的输入阻抗和网分端口(一般为50ohm)的阻抗失配,则能量从网分端口传输至天线时部分能量会反射回来。通过式(2.13)反射系数Γ可以表示为:

式(2.13)中,Z_L输入阻抗,Z_0为网分端口的阻抗。 -
此外,电压驻波比(Voltage Standing Wave Ratio,VSWR)也是表征天线阻抗匹配性能的参数,通过式(2.14),VSWR可以表示为:

由式(2.14)可知VSWR理论上大于等于1,当Γ = 0时,根据式(3.13)可知 Z_L=Z_0, VSWR=1,这种属于十分理想的情况下才有Z_L=Z_0。反射系数Γ不等于0时,VSWR总大于1,总会有能量被反射。实际情况中反射系数肯定不等于0,当反射系数越大时,驻波比增大,表示有更多的能量被反射,一般设计天线时要求其驻波比要小于2。
通常驻波越小越好,但是有时为了追求其他更重要的参数时,会适当的牺牲驻波来换取其他参数(小站的圆度等)。
5.天线效率和增益
1.天线效率
- 现实当中的天线都是有耗的,馈入天线的能量可以分为两部分,天线辐射出去一部分能量记为P_r,另一部分被发热耗散掉,记为损耗功率P_l。天线总效率η为天线辐射实功率P_r与输入端的实功率P_in之比,如式(2.15)所示:

2.天线增益
- 天线的增益(Gain)是在输入功率的基础上定义的,表征天线接收到输入功率后集中辐射能量出去的能力。
- 定义1:相同输入功率P_in条件下,天线在某方向上的辐射强度U(θ_o,φ_0 )与理想点源天线在同一方向的辐射强度U_0 (θ_0,φ_0 )之比,如公式(2.16)所示:

- 定义2:在某方向产生相同电场强度的条件下, 理想点源的输入功率P_in0与某天线输入功率P_in的比值,如公式(2.17)所示:

式(2.17)中,因为理想点源天线无耗故而P_in0=P_in。
- 其实仔细观察的话,天线增益的定义和方向性系数是差不多,式2.17中表明,天线增益=天线效率*天线方向性系数,天线的效率是和天线本身的阻抗有关;
- 工程上,天线效率是用暗室去测,方向系数和增益也能测;
- 终端天线的最重要的参数就是天线效率,天线的驻波差一些,但是效率高那也是可以的;
- 天线的驻波好不代表天线效率就高,但是天线的驻波差,效率肯定不会太高;
- 以上的参数都是天线的无源参数,工程上还有天线的有源参数(OTA)。
最后
以上就是落后乐曲最近收集整理的关于天线理论—1.天线基本参数的全部内容,更多相关天线理论—1内容请搜索靠谱客的其他文章。
发表评论 取消回复