目录
误差计算
三种电桥对比
总结
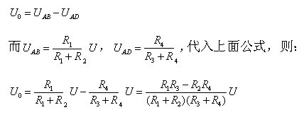
误差计算
电桥电路如下:

计算如下:

从上式可以看出当有激励电压时(即U≠0时),
=0的条件是
,四个电阻相等的时候是等臂电阻。当四个电阻的阻值发生变化,如桥臂上面是四个应变片,测量重力等。其输出电压的公式如下:
对上式由于
并且略去高阶项。展开公式线性化后得出如下
公式1
上面的式子是线性表达,存在非线性误差
非线性误差的计算如下:
公式2
三种电桥对比
电桥,也分为单臂电桥,半桥电路,全桥电路。
单臂电桥,如,只有R1为应变片
根据公式1,只有R1发生变化,所以有
同时根据公式2得出,单臂电桥的非线性误差为
单臂电桥电路存在非线性误差。
半桥电路 ,如R1 和R2 为应变片(相邻的桥臂),一个受力阻值变大,另外一个变小。阻值变化相同
根据公式1 可得
同时根据公式2得出,非线性误差为
从上面可得出,半桥比单臂灵敏度高2倍,且没有非线性误差。
同理全桥电路,接入四个应变片,R`和R3 阻值变化方向相同,R2和R4阻值变化方向相同,变化的大小均相同。
得出输出为
非线性误差为0.
总结
全桥,灵敏度最高,消除了非线性误差,还具有温度补偿功能。(温度变化四个电阻变化值相同,相对电桥依旧处于平衡)
最后
以上就是痴情绿草最近收集整理的关于电桥的原理,及非线性误差误差计算三种电桥对比总结的全部内容,更多相关电桥内容请搜索靠谱客的其他文章。
本图文内容来源于网友提供,作为学习参考使用,或来自网络收集整理,版权属于原作者所有。
发表评论 取消回复