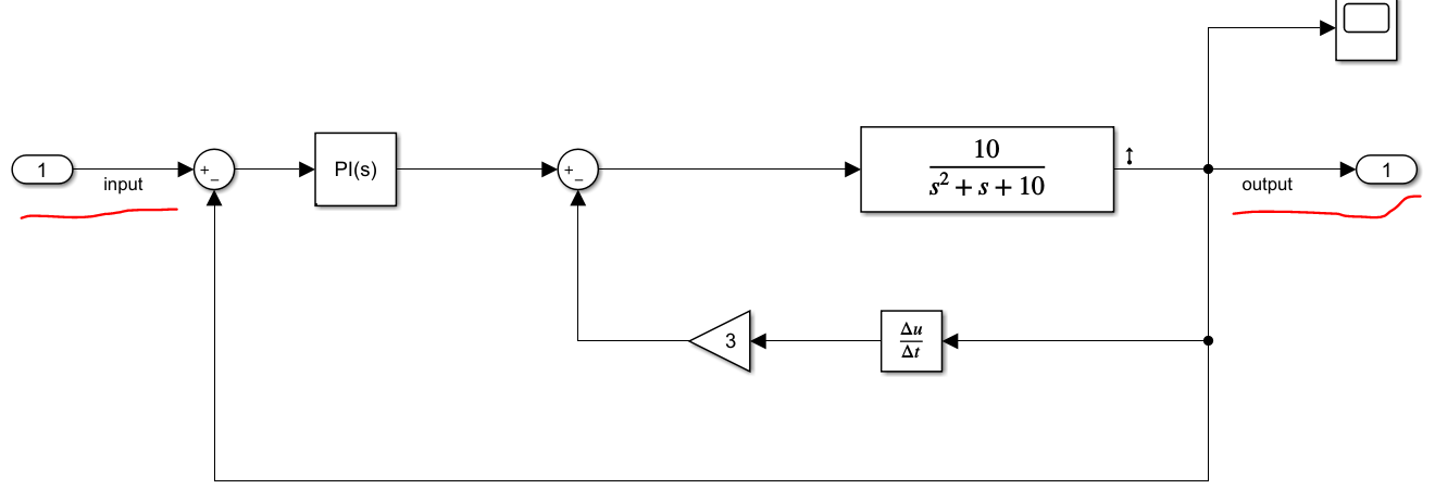
1.根据实际系统物理关系,搭建系统的simulink模型,注意,系统的输入端口和输出端口不能用实际的源,而要采用In1 block和Out1 block,可以命名输入输出的信号线。

2.选择分析工具,在菜单栏中点击“APPS→Linearization Manager”,如下图所示:

3.然后在“LINEARIZATION”界面下,选择要分析的输入和输出信号。
输入信号设置:
输出信号设置:
4.响应分析,以BODE图为例:点击Model Linearizer,弹出工具框,然后选择“Bode”。

5.在Bode图中的界面中,右击可以设置Bode图的属性。
可以将x轴的单位改成“Hz”。
最后
以上就是落后心锁最近收集整理的关于在Matlab R2019版本上分析simulink模型的BODE图、阶跃响应、单位脉冲响应的全部内容,更多相关在Matlab内容请搜索靠谱客的其他文章。
本图文内容来源于网友提供,作为学习参考使用,或来自网络收集整理,版权属于原作者所有。
发表评论 取消回复