训练参数:
在神经网络中
训练信噪比 :12 dB
训练次数 : 200epoch
多径信道相关参数(一)fd = 56hz:
载波频率 fc = 2010MHZ
多普勒效应 车辆速度 V = 30KM/h
光速 c = 1.08*10^(9)KM/h
最大多普勒频移 fd = (v*fc)/c = 56hz
入射波数目 N = 20 (理解是这个与速度v有关,通过对比,入射波数目为40 ,这里推测为 20)
下图种多径参数以及其所适应的环境


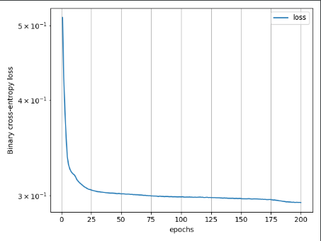
python AE fd-56 仿真 5径训练

python AE fd-56 仿真 5径测试

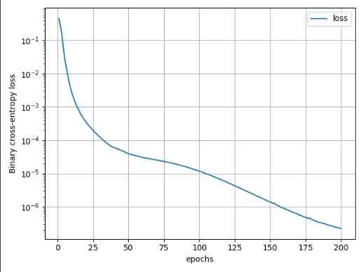
python AE fd-56 仿真 3径训练

python AE fd-56 仿真 3径测试

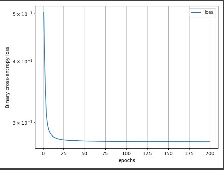
python AE fd-56 仿真 1径训练

python AE fd-56 仿真 1径测试

换算成延时点数和相对功率增益如下:
相对延时(单位:点数):
0 10 22 33 54 77
计算公式如下:
参考资料:
《LTE相关标准》首先确定子载波间隔为15000Hz,所以OFDM符号的长度是1/15000秒,再确定FFT点数为2048,所以采样间隔=时间/点数=1/15000/2048=1/(15000*2048)=1/30.72M直接从采样时间间隔来说明。
sr = 15000 # 一秒钟传多少个OFDM符号
Ns = 2048 # 一个OFDM符号所包含的符号
ts = 1/sr/Ns # 采样间隔
用延时/ts 就可以得到延时点数
相对功率增益:
sqrt(1/2) sqrt(2/5) sqrt(3/50) sqrt(1/20) sqrt(2/125) sqrt (1/200)
公式计算 :
power= 10.^(powerdB / 10); #信道抽头功率分布(线性)
sqrt(power / 2)
===================================================
下面是matlab中仿真的效果(碰到的问题是这套参数中的仿真,3径效果没有5径的好):
延时点数(从左到右分别是1径到5径) 0 10 22 33 54 (自动编解码)
延时点数(从左到右分别是1径到5径) 0 6 14 22 33 (matlab)
这里自动编解码中延时和matlab中延时点数不同的原因是因为两者数据得格式是不同的,自动编解码中数据得结构是142048 matlab中数据的结构式是780。就导致两者的采样间隔式不同的,需要分开计算
功率和上面相同
多径信道相关参数(二)fd = 223:
载波频率 fc = 2017MHZ (传输的带宽)
多普勒效应 速度 V = 120KM/h
光速 c = 1.08*10^(9)
最大多普勒频移 fd = (v*fc)/c = 223hz
入射波数目 N = 80(理解是这个与速度v有关,之前代码种120KM/h时,入射波数目为40 ,这里推测为40)
下图种多径参数

相对功率增益:
sqrt(1/2) sqrt(1/4) sqrt(1/8) sqrt(1/16) sqrt(3/100)
相对延时(单位:点数):
0 16 31 47 63 这是在一个OFDM符号里面包含80个符号的情况下测得延时点数(matlab中)
0 26 52 78 103 这是在一个OFDM符号里面包含2048+160个符号的情况下测得延时点数(自动编解码神经网络)。 (一秒钟传15000*2048个符号)
0 24 48 72 96这是在一个OFDM符号里面包含2048个符号的情况下测得延时点数(自动编解码神经网络)。 (一秒钟传15000*2048个符号)

用comm.RayleighChannel()来生成多径信道

python端
训练 200 epoch
卷积核个数 8 个 3x3
训练信噪比 12dB
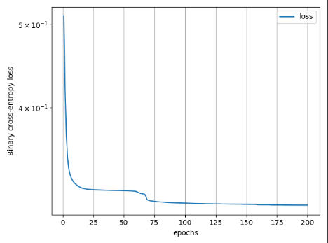
3径训练

3径测试

1径训练
1径训测试
5径训练

5径训测试

多径信道相关参数(三 )fd =100–matlab参数:
matlab端:
fd = 100
主要参数如下:

仿真结果:

QPSK一径瑞利信道在三种均衡方式时的误码率

16QAM一径瑞利信道在三种均衡方式时的误码率
参考文献:

cost207典型城区(TU)信道参数
在这里插入图片描述
功率增益
powerdB = [0 -3 -6 -9 -12]; % 信道抽头功率分布(dB)
power = 10.^(powerdB / 10); % 信道抽头功率分布(线性)
ntap = length(powerdB); % 信道抽头数
channel = (randn(1, ntap) + 1i * randn(1, ntap)).* sqrt(power / 2);
时间延时
delay = [0 24 48 72 96]; % 信道延迟样本
lch = delay(end)+1; % 信道长度 信道脉冲响应 (这里为什么加1原因
% 也很简单 因为第一径没有延时,也就是0延时
% 相应对应的就是第一个位置,所以,0延时=>>位置1)
h = zeros(1, lch);
h(delay + 1) = channel; % 这里信道的长度是97,其中有数据的地方分别是
% 第1、25、49、73、97位置其他位置都是0
powerdB = [0 -3 -6 -9 -12]; % 信道抽头功率分布(dB)
power = 10.^(powerdB / 10); % 信道抽头功率分布(线性)
ntap = length(powerdB); % 信道抽头数
channel = (randn(1, ntap) + 1i * randn(1, ntap)).* sqrt(power / 2);
delay = [0 24 48 72 96]; % 信道延迟样本 根据每径延时时间计算出的每径延时符号数
lch = delay(end)+1; % 信道长度 信道脉冲响应 (这里为什么加1原因
% 也很简单 因为第一径没有延时,也就是0延时
% 相应对应的就是第一个位置,所以,0延时=>>位置1)
h = zeros(1, lch);
h(delay + 1) = channel; % 最后就得到了多径信道系数
最后
以上就是大气八宝粥最近收集整理的关于多径信道仿真参数的全部内容,更多相关多径信道仿真参数内容请搜索靠谱客的其他文章。
发表评论 取消回复