一、信道概述
1. 信道:以传输媒质为基础的信号通道。
- 分类
- 狭义信道:根据传输媒质:有线(恒参信道)/无线(随参信道)。
- 广义信道:调制信道/编码信道。
- 信道的特性
- 不同的传输媒质具有不同的属性,包括带宽、速率、距离、环境;
- 适用场合不同。
- 信道的影响
- 信道噪声为有源干扰,加性干扰;
- 信道本身特性不良为无源干扰,乘性干扰。
2. 电磁波的特性
- 低频电磁波主要束缚在有形的导电体内传递;高频电磁波即可在空间也可在导电体内传播。
- 电磁波在空间的传播速度等于光速(3×108m/s);
- 频率f 和 波长λ 是电磁波的主要特性:λ = c/f;
- 为了有效的发射和接收电磁波,天线尺寸h需满足:h ≥ λ/10。
- 频率越高,波长越短,所需的天线尺寸越小。
3. 电磁波的传播方式
1. 地波
- 频率:<2MHz
- 特性:有绕射能力
- 距离:数百或数千km
- 应用:AM广播
2. 天波
- 频率:2—30MHz
- 特性:被电离层反射
- 距离:4000km每跳
- 应用:远程
3. 视线传播
- 频率:>30MHz
- 特性:直线传播、穿透电离层
- 距离:与天线高度有关,越高传的越远
- 应用:超短波和微博通信,卫星和外太空通信
- 提升传输距离的方法:
- 增高天线高度
- 微波中继/卫星中继/平流层中继
二、信道数学模型
1. 调制信道模型
编码器—调制器—发转换器—媒质—收转换器—解调器—译码器
范围:调制器出~解调器入
目的:研究调制/解调问题
共性:
- 有一对入/出端
- 大多满足线性叠加原理
- 对信号有固定或时变的延迟和损耗
- 无信号输入,仍可能有输出(噪声)
入出关系:

第一项反映信道本身特性,乘性干扰,第二项是加性噪声,始终存在。
- 恒参信道对应线性时不变滤波器:f [·] = c(t)
- 随参信道对应线性时变滤波器:f [·] = c(t,x)
2. 编码信道类型
编码器—调制器—发转换器—媒质—收转换器—解调器—译码器
范围:编码器出~译码器入
目的:研究编码/译码问题
模型:可用转移概率P(y|x):x转移为y的概率来描述。
无记忆信道的特点:前后码元发生的错误是互相独立的。
有记忆信道的特点:一个码元发生的错误与前后码元有依赖关系,需用马尔科夫链描述。
三、信道的特性和影响
1. 恒参信道的特性和影响
恒参信道指传输特性随时间缓变或不变的信道,等效线性时不变滤波器。
如各种有线信道、卫星中继、超短波及微波视距传播等。
-
传输特性:用幅频特性和相频特性共同描述。

-
理想恒参信道(无失真传输条件):波形一样,只是大小初值不同。
- 幅频特性是常数,相频特性为w的线性函数,群迟延特性也是一条直线t(w)=td。
- 无失真传输:幅度上有固定的衰减,时间上有固定的时延。

-
幅频失真:对模拟信号造成波形失真,信噪比下降;
对数字信号产生码间串扰,误码率增大。
相频失真/群迟延失真:对语音信号影响不大,对视频信号影响大;
对数字信号造成码间串扰,误码率增大。
2. 随参信道的特性和影响
随参信道指传输特性随时间随机变化的信道。
如短波电离层反射、各种散射信道、移动通信信道等。
-
传输特性:
- 衰减随时间变化
- 时延随时间变化
- 多径传播
-
多径传播的影响:
-
包络和相位是随机缓变的窄带信号,包络服从瑞利分布,相位服从均匀分布;
-
从波形包络的变化看,多径效应使信号产生瑞利型衰落;
从频谱角度看,多径效应使信号产生频率弥散。
-
多径效应造成频率选择性衰落。
避免:定义信道相关带宽为相邻传输零点的频率间隔▲f=1/t。
使信号带宽Bs小于相关带宽▲f,一般工程Bs=(1/3—1/5)▲f。
-
OFDM(正交频分复用):减小频率选择性衰落的有效措施之一,4G的关键技术之一。
思想:将信道分成N个正交子信道,将高速数据信号串并转换为N路并行的低速子数据流,分别调制到各子载波上并行传输。
特点:具有较强的抗多径传播和抗频率选择性衰落的能力,以及较高的频谱利用率,在高速无线通信中得到了广泛的应用。
-
四、信道噪声
信道噪声独立于信号始终存在,因此又称加性干扰。
信道噪声会使信号失真,造成错码,限制传输速率。
1.噪声类型
-
按噪声来源:人为噪声/自然噪声/内部噪声(热噪声)
-
按噪声性质:脉冲噪声/窄带(单频)噪声/起伏噪声(热噪声、散射噪声及宇宙噪声)
2. 代表性噪声:热噪声
- 来自一切电阻性元器件中电子的热运动;
- 其功率谱均匀分布在0到1012次方Hz频率范围——白噪声;
- 电压瞬时值服从高斯分布,且均值为零——高斯噪声。
3. 窄带高斯噪声
-
经过解调器前端的带通滤波器,加性高斯白噪声(取决于均值和方差)被过滤为窄带高斯噪声。
-
窄带高斯噪声的功率谱密度可以等效为一个矩形,噪声等效带宽满足
通过宽度为Bn的矩形滤波器的噪声功率=通过实际接收滤波器的噪声功率。
五、信道容量
1. 无扰信道的容量——奈奎斯特定理
奈奎斯特证明,对于一个带宽为B赫兹的无扰信道,其所能承载的信道容量(最大信息速率)为:

其中,B为信道带宽,M为信号电平数(进制数)。
增大B或M,可以提高信道容量,但不能无限增大。
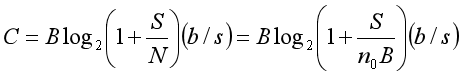
2. 有扰信道的容量——香农公式
香农证明,对于加性高斯白噪声(AWGN)信道,其无差错传输的最大平均信息速率(信道容量)为:

其中,B为信道带宽,S为信号平均功率,N为噪声功率,n0为噪声单边功率谱密度。
结论:
-
信道容量依赖于B,S,n0三要素。
-
B一定,增加S或减小n0,可以增大C。
当S趋于∞或n0趋于0时,C趋于无穷大。
-
S/n0一定,当B趋于∞时,C趋于有限定值,约为1.44S/n0。
-
若实际信息速率 Rb ≤ C,则总能找到一种信道编码方式,实现无差别传输。
注意:在香农公式给定的信道容量下,可以由奈奎斯特定理确定信号电平数。
最后
以上就是苗条河马最近收集整理的关于通信原理(2)—— 信道模型、特性、噪声(多径)、容量(香农公式)的全部内容,更多相关通信原理(2)——内容请搜索靠谱客的其他文章。
发表评论 取消回复