矩阵很多同学没有接触过,所以感觉很难,很复杂,其实只要学过矩阵的同学都知道,矩阵运算并不难。今天我们给大家讲讲游戏开发中的矩阵的运算。
对啦!这里有个游戏开发交流小组里面聚集了一帮热爱学习unity的零基础小白,也有一些正在从事游戏开发的技术大佬,欢迎你来交流学习。
1:矩阵是什么?

上述变换中,xb 是由xa, ya 经过线性运算而得到得。如果xb = A*xa^2 + B*ya + C,这样就不是线性变换了。
数学前辈们为了描述上面的线性变换,发明了矩阵,把上面的变换标记为:

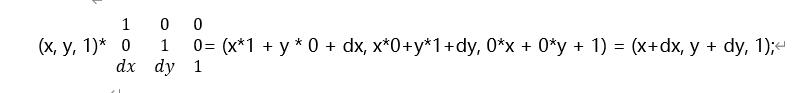
上面的变换,(xa, ya)通过矩阵变换到(xb, yb),用矩阵是如何变换的呢?我们实际就是把(xa, ya)*矩阵 = (xb, yb)。
2: 向量与矩阵, 矩阵与矩阵的乘法;
向量与矩阵乘法:
按照上述的例子我们一起来计算一下,空间Va的向量(xa, ya), 变换到空间Vb的向量(xb, yb)


总结一下向量与矩阵的乘法规则:
新向量的第i个元素,等于原来向量的每个元素与第i列矩阵的每个对应数据相乘后相加。由这个规则,我们可以得到向量与矩阵相乘向量的维度必须和矩阵的行数一样。
很多同学马上就会有疑问了,矩阵既然最后还是要结合元素计算,我干嘛还要用矩阵呢?直接算不就可以么?接下来矩阵得第二个妙处就在于每个线性变化都对应一个矩阵,我们可以把多次线性变换叠加起来,这样就可以减少运算的次数。比如我要把100个点,由V1空间,变换到v2空间,再变换到v3空间。V1到v2对应一个矩阵,v2到v3对应一个矩阵,我们可以把这两个矩阵变换叠加起来变成一个矩阵。100个点,每个点计算一次矩阵乘法即可得到新的点,而不用每个点计算2次矩阵乘法得到新的点。
如何把多个矩阵对应的多次线性变换叠加起来呢?这个就是矩阵与矩阵的乘法。例如

根据上面的规律,新矩阵的对应第i行第j列元素,我们叫做元素ij。矩阵变化的叠加就是矩阵乘法,矩阵乘法的计算规则如下:
A矩阵*B矩阵=C矩阵, Cij = Ai0*Bj0 + Ai1*Bj1 + ….. ;即Cij为A的第i行与B的第j列的每项数据相乘后的和(即dot(Ai, Bj))。根据上面的规则,我们发现两个矩阵要能相乘必须要满足一个条件,就是左边矩阵的列数等于右边矩阵的行数,否者两个矩阵是无法相乘的。
3: 游戏开发中的缩放,旋转平移矩阵;
游戏开发中常用的线性变换有缩放,平移, 旋转, 这个我们通常叫做transform。而这些变换叠加在一起,就是我们在游戏世界中摆放游戏物体,我们可以把每个物体的线性变换,叠加在一起,形成一个矩阵,然后我们再来做坐标变换。
先来看平移矩阵,我们以2D为例, 向量(x, y)平移变换到新的空间,平移就是把x, y都加上一个常量。那么平移变换矩阵为

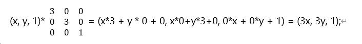
缩放矩阵: 向量(x, y)通过缩放,到新的空间



同理,如果是先缩放后平移,缩放矩阵*平移矩阵,如下:

同样是两个矩阵,乘法的位置不一样,得到的结果可能不一样。
4: 3D游戏中的旋转矩阵,单位矩阵, 逆矩阵;
平移缩放,大家都好理解了,旋转矩阵不那么直观,特别是3D的。我们以大家熟悉的欧拉旋转为例。


最后说几个比较特殊的矩阵,单位矩阵,就是乘以这个矩阵后不会发生任何改变,相当于没有变化。
逆矩阵: 矩阵A的反向矩阵叫A的逆矩阵即: A矩阵*A的逆矩阵=单位矩阵, 两个互为逆矩阵的叠加在一起,相当于没有变化。
今天的矩阵就讲解到这里,关注我, 在我们学习小组中可以免费获得矩阵的视频讲解的教程程。
最后
以上就是热心网络最近收集整理的关于3D游戏开发中的矩阵详解的全部内容,更多相关3D游戏开发中内容请搜索靠谱客的其他文章。
发表评论 取消回复