我是靠谱客的博主 生动羽毛,这篇文章主要介绍合作式智能运输系统 车用通信系统应用层及应用数据交互标准 第二阶段_基于专用短程通信技术的紧急制动预警...,现在分享给大家,希望可以做个参考。

摘要:根据中国智能交通产业联盟(C-ITS)发布的《合作式智能运输系统车用通信系统应用层及应用数据交互标准》[1],深入研究了车与车协同驾驶主动安全相关的紧急制动预警(EBW)的应用场景[2],结合北京汽车车厂自身特点及人因工程特征提出了把刹车信号分为刹车预警信号、常规刹车信号和紧急刹车信号三种,并给出了通过采集制动踏板行程距离获取包含刹车加速度的刹车信号。通过专用短程通信(DSRC)技术,分等级刹车预警信号的提示,可以缩短人车系统在刹车过程中司机对紧急刹车的反应时间,不但能达安全刹车,有效防止追尾,而且还能通过刹车信号确定合理的最大制动力,减轻对车辆本身的耗损,同时也能达到节能降耗的目的。同时,提出了包含制踏板行程标准化距离的刹车板制造标准,并对 C-ITS 的《合作式智能运输系统车用通信系统应用层及应用数据交互标准》及《专用短程通信消息集字典》SAE J2735[3]中的数据集定义进行了扩展建议,就车厂企业标准进行了说明。本文基于专用短程通信(DSRC)技术,采用理论分析和试验验证结合的研究方法,对车车协同、人车协同驾驶相关的安全问题进行研究。关键词:紧急制动预警,前向碰撞预警,自动紧急制动,主动安全作者:北汽集团研究总院 朱赛春1.前言
针对防止行驶车辆常见的追尾事故的驾驶主动安全设计上,主要采用紧急刹车辅助(EBA)方案。以 EBA 为代表的刹车系统,都是以立刻激发最大刹车压力,以达到最高的刹车效果,达到理想的制动效果,以制止交通事故的发生为目的而开发出来的。在一些非常紧急的事件中,该系统利用传感器感应驾驶者对制动踏板踩踏的力度与速度大小,然后通过电脑判断驾驶者此次刹车意图。如果属于非常紧急的制动,EBA 会指示制动系统产生更高的油压使 ABS 发挥作用,从而使制动力快速产生,减少制动距离。而对于正常情况刹车,EBA 则会通过判断不予启动 ABS。
通常情况下,EBA 的响应速度都会远远快于驾驶者,这对缩短刹车距离,增强安全性非常有利。当驾驶人在紧急情况下迅速踩制动踏板而踩制动踏板的力矩不足时,EBA系统便会在短时间内把制动力增至最大。其速度要比大多数驾驶人移动脚的速度快得多,在制动踏板刚踩下部分行程时就可以有效停车,提前达到制动的最大力矩,缩短紧急制动情况下的制动距离。由于更早地施加了最大的制动力,EBA 系统可提前制动,显著缩短制动距离,并有效防止在停停走走的交通路况中发生追尾事故。
EBA 系统主要是从驾驶员刹车执行的角度出发,以立刻激发最大刹车压力,以制止交通事故的发生为目的而开发出来的。EBA 方案是从改进制动踏板的制动效率为出发点,以如何尽可能有效缩短制动距离为问题解决的突破口,而没有考虑到防止车辆尾是人与车协作、车与车协作的系统问题。改进制动踏板的制动机制是一个方面,而从人因工程的层面来看,人的因素考虑是防止追尾的另外一个突破口。
从人机系统角度分析,刹车过程应包括驾驶员反应时间和制动系统反应时间。驾驶员反应时间是前车尾灯亮灯开始到自车刹车的脚踏板动作开始之间的时间。制动系统反应时间是刹车的脚踏板动作开始到到达自车平均最大减速度之间的时间。根据汽车驾驶行业统计数据,驾驶员反应时间一般为 0.8S 到 2.0S,而制动系统反应时间一般为 0.7S。从以上经验数据分析来看,整体制动效果影响因子中,驾驶员反应时间能占到制动效果的 51%到 74%,从而驾驶员反应时间也是有效防止车辆追尾的重要因素,而这一因素通常被忽略。另一个方面,提高有效刹车次数和降低驾驶员的紧张感和疲劳感,也是设计制动系统中必须考虑的因素。通过利用专用短距离通信技术(DSRC),研究车车、车人协作,以提高驾驶员应急反应时间,减少无效的刹车预警信息,提高刹车的有效性,以达到合理地保持车距和确定合理的最大制动力的目的,同时提高驾驶员驾驶的舒适感。2.场景分析
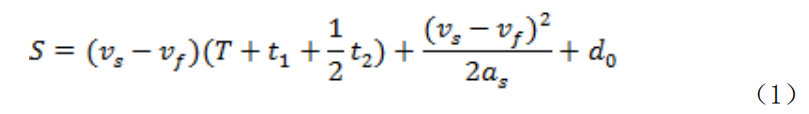
数据更新频率、系统延迟参照 J2945[4]及 NHTSA VSC-A[5]性能指标说明。图 1 分析了包含人因工程的紧急刹车过程,根据汽车制动动力学可以推导出最小安全距离模型如下[6]:

434ab68ebcbf42b1881cd72bfe1cfcec.png


Vs、Vf 分别为 HV 及 RV 车速,T 为驾驶员反应时间, 前车尾灯亮灯开始到自车刹车脚踏板动作开始的时间; t1为制动协调时间,刹车的脚踏板动作开始到到达自车开始减速的时间;t2 为减速度增长时间,从开始制动到达平均最大减速度的时间;d 为停止后车辆间距,车辆停止以后,自车和前车之间的距离。为了有效防止行车追尾事故的发生,达到合理地保持车距的目的,需要解决在刹车过程中,缩短驾驶员反应时间 T,确定合理的最大制动力。

cd979ff722321485990d36222885249e.png


图 1 包含人因的制动过程
如图2主车(HV)和远车(RV)位置关系,需分析接收到的远车(RV)刹车制动消息,通过行驶方向、速度、加速度、位置筛选出存在潜在危险的远车制动信息,并做刹车事件提提醒。

fb79baa7c88730e5e4528c9aca727fe8.png


图 2 车辆位置关系与威胁车辆筛查3.设计方案3.1 系统构成
系统分为通信底层和 V2X 应用层两大部分。通信底层用于实现 V2X 通信相关底层软件接口与驱动的封装。V2X 应用层是基于通信底层的开发接口进行相关通信数据处理和 V2X 应用功能的实现部分。通信底层包括两大部分,通信接口层和 Linux Kernel 及驱动。基于 Linux 操作系统,增加 V2X 设备通信相关的硬件芯片驱动模块,实现了基于 Linux 操作系统级别上的软件开发的基础接口模块层,这部分是通信基础核心部分。通信接口层封装了三部分接口,V2X 通信接口、GPS 通信接口、CAN 总线数据接口。V2X 通信接口采用包括数据接入层、网络层、数据封装层,通过这三层实现数据封装,网络传输、数据接入到应用访问接口的处理过程。这三层统一封装为 V2X 通信接口,使得开发人员直接调用接口就可以实现 V2X 数据通信。CAN 总线数据接口从总线上读取车辆相关数据,如车辆转向、紧急制动、灯光等数据,将这些数据上传到 V2X 应用层供其使用。
V2X 应用层包括任务管理、应用层、信息安全三部分。任务管理来实现总体软件资源的调配管理和信息节制,信息安全主要负责数据信息的加密解密和传递过程中的安全加密和保护,应用层包括协议解析、业务调度和 V2X 业务功能、实现通知模块、V2X HMI 交互界面。协议解析分为 CAN 解析、通信协议解析。CAN 解析从 CAN 总线接口读数据转换成 V2X 业务需要的数据,如转向值、紧急制动、灯光值等,通信协议解析用于解析其他 X 设备(车、人、基础设施)发来数据,同时提供逆向操作过程,即向 X设备(车、人、基础设施)发出数据,该模块实现协议数据的解析、数据加密/解密、数据压缩/解压缩。3.2 处理流程
根据图 3 系统处理模块框图,系统处理过程描述如下。
1)分析接收到的远车(RV)刹车制动消息,通过 RV 车辆的行驶方向、速度、加速度、位置信息,在 TC 模块筛选出位于 Ahead in-lane,Ahead left 及 Ahead Right 区域的远车(RV)。
2)进一步筛选处于一定距离范围内的远车(RV)作为潜在威胁车辆。
3)TA 模块计算每一个潜在威胁车辆碰撞时间(TTC:time-to-collision)或防撞距离(collision avoidance range),筛选出与主车(HV)存在碰撞危险的威胁车辆,进行不同危险等级预警。
4)若有多个威胁车辆,则筛选出最紧急的威胁车辆。
5)系统通过 HMI 对主车(HV)驾驶员进行相应的碰撞预警。

8c224c2753c65f44309035c42cf20054.png


图 3 系统处理模块4.交互数据设计
车辆在行驶中正常制动情况下,车辆减速度为 0.3G~0.4G,相对应的制动系统油压大约为 3.5~4Mpa。在制动系统踏板行程的分析与设计中,制动踏板的行程可以分为制动触发、常规制动及紧急制动三中情况,即制动系统压力分别在 1MPa、3~4MPa和 10~12MPa 状态下所对应的三种制动踏板的行程。为此,如表 3 的说明,定义了刹车预警信号、常规刹车信号和紧急刹车信号三种刹车信号。刹车预警信号反映制动触发前的司机准备状态,相应的制动刹车板的行程为 10mm~40mm;常规刹车信号反映制 动 触 发 后 到 最 大 0.6G 减 速 度 的 常 规 制 动 状 态 , 其 制 动 刹 车 板 的 行 程 为40mm~85mm;紧急刹车信号反映 0.6G 减速度以上的紧急制动状态,其制动刹车板的行程为 85mm 以上。在定义三种刹车信号的基础上,可以把前车的包含刹车预警的刹车状态通知给后面车辆。4.1 数据集定义
数据帧是应用层数据包收发的基本单位。不同类别的消息用以下统一的结构打成数据帧进行发送和接收。一个数据帧由一个消息类型 ID 和消息体组
成。

6598c6b4b16a7c81733568b65d4a63eb.png

d6c5e17e8d689d62ba1ba7142659f86d.png


消息体打包了各类具体的消息内容。目前,J2735 标准[3]定义了 4 个最基本的消息体。车辆基本安全消息是使用最广泛的一个应用层消息,用来在车辆之间交换安全状态数据。该消息一般会周期性地进行广播,将自身的状态信息告知周围车辆,支持一系列协同安全应用。广播频率一般为 10Hz。

c40fa0e35def1fa2dc41394d39542ed0.png

04459c3742b0d0eb18020aad0f9f36af.png


其中,DE_BrakeSystemStatus 定义车辆的刹车系统状态,包括了 7 种不同类型的状态。

  • brakePadel:刹车踏板踩下情况。
  • wheelBrakes:车辆车轮制动情况。
  • traction:牵引力控制系统作用情况。
  • abs:制动防抱死系统作用情况。
  • scs:车身稳定控制系统作用情况。
  • brakeBoost:刹车助力系统作用情况。
  • auxBrakes:辅助制动系统(一般指手刹)情况。

9b9cdbda307c0e0e3d9c53a2577f7686.png

4.2 刹车状态数据扩展
C-ITS 的《合作式智能运输系统车用通信系统应用层及应用数据交互标准》[1]中定义的刹车踏板状态 DT_BrakePedalStatus,只是反映刹车板是否被踩下的两种状态。在试验的基础上把刹车板是否被踩下扩展为制动触发信号、常规制动信号和紧急紧急信号三种。三种信号在最小工况下(荷载:空载;车速:50km/h)的定义如表 3说明。
表 3 刹车信号定义

7f0d95f576540a5e8e5cdf032fdbe415.png

cdc79bec72b42deb2b41446dd1c0c68c.png

5.模拟实验
通过驾驶模拟平台,在停停走走的路况条件下,对驾驶员反应速度和有效刹车次数这两个关键指标进行验证。试验场景为前后两车,车速 60km/h,分别观察后车和前车车距 20m 和 10m 两种条件下,前车常规刹车和紧急刹车的驾驶行为对后车驾驶员的影响。试验设计行驶 30 公里路程,随机产生 10 次常规刹车信号和 10 次紧急刹车信号和相应的 20 次刹车预警信号。并设定 DSRC 系统的车辆基本安全消息帧发送频率为 10Hz。在没有刹车预警信号的条件下,试验数据如表 4 所示。
表 4 无行为预判的反应时间和紧急刹车有效性

90f21981b8ddc8bb3bd48b7ca8a0adfd.png


在有刹车预警信号传达的条件下,试验数据如表 5 所示。
表 5 行为预判下的反应时间和紧急刹车有效性

97a217f576d7cfe11ba7ef5a434f4cd8.png


以上试验数据表明,刹车预警方法可以把驾驶员反应时间从 1.9 秒缩减到 0.秒,而其中需要花销 0.1 秒的 DSRC 通信时延成本。同时,刹车预警方法在近距离跟驰驾驶场景下能明显提升紧急刹车的有效性。6.结 论
通过 DSRC 短程通信技术,进行刹车预警信号超视距后车传达,可以明显缩短人机刹车系统在刹车过程中驾驶员对紧急刹车的反应时间和提高刹车有效率。而且在视障的场景下,不但能达到安全刹车,有效防止追尾,而且通过常规刹车信号的分级,还可以合理确定最大制动力,减轻对车辆本身的耗损,同时能达到节能降耗的目的。值得说明的是,车与车间通信不限于 DSRC 技术,未来的 LTE-V 或 5G 移动蜂窝网络技术有着更低的信息时延。对于由于前车驾驶员不良的驾驶习惯而产生的错误预警信息的过滤,还有等待于以后研究。参考文献
[1] T/ITS 0053-2016 合作式 ITS 车用通信系统应用层及应用数据交互标准[S].C-ITS.
[2] Intelligent Transport System(ITS): Vehicular Communications: Basic Set of Applications)[S]. ETSI TS,102-637.
[3] Dedicated Short Range Communications (DSRC) Message Dictionary[S].SAE, J2735, 2015-04.
[4] On-Board System Requirements for V2V Safety Communications[S].SAE,J2945/1.
[5] Vehicle Safety Communications– Applications(VSC-A) Final Report[R].NHTSA, 2011-09.
[6] 吴浩然.基于驾驶意图与动态环境的车辆纵向碰撞预警研究[D].武汉理工大学.

最后

以上就是生动羽毛最近收集整理的关于合作式智能运输系统 车用通信系统应用层及应用数据交互标准 第二阶段_基于专用短程通信技术的紧急制动预警...的全部内容,更多相关合作式智能运输系统内容请搜索靠谱客的其他文章。

本图文内容来源于网友提供,作为学习参考使用,或来自网络收集整理,版权属于原作者所有。
点赞(265)

评论列表共有 0 条评论

立即
投稿
返回
顶部