我是靠谱客的博主 忧心红酒,这篇文章主要介绍常数乘以无穷大等于多少_波导中的传播常数与模式,现在分享给大家,希望可以做个参考。

9b046bf5df5a388773aece6ac703f1ec.png

传播常数:波导传播光的基本原理是全反射,一列波打到波导的一侧,满足一定条件就可以发生全反射,假设波导沿着Z轴,那么在波导内的波总可以分解为沿着Z轴的分量和X或者Y轴的分量的叠加,把沿着波导传播方向的博士分量称为传播常数。

要使电磁波在波导内传播,应调整其角度,使经过两次反射后的波与其同相位,即反射后向上的波同相位(差2π整数倍)当然向下反射的波也满足。

fb0860ced86109651f79dd80f99e6257.png

设向上的波为

d40ed3c793333d08d9c1119ede7d1402.png

向下的为

9e4bb0ea254495d4a493acca3a4589dd.png

d40ed3c793333d08d9c1119ede7d1402.png

场分量为

d0fd2b51570801d8d1d05ffe0aee8ec5.png

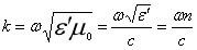
由几何关系有传播常数:

3517abeb33c7fa9b6f5f87ea633776ea.png

假设介质为无损介质,则

66e696e75e9f34c08753e2f3dc6ea94c.png

e64bf2dddfc005103e653661f7fb6ce3.png

假设一观察者从某点出发,沿着x方向移动,经过一次来回返回原状态,沿着x方向总共积累的相位为

d928a0c3a05bda657305db223e8fabba.png

其中

95182e39afae926302cc52cd4a473343.png

2b0c6ebc70b14199030fd2d70836c84e.png

分别为界面反射时积累的相位,由于为TM波,故他们均为0,则根据同相位条件有

79fbc31eb741f163e970279579840e9e.png

可解得

2e204a6772afe9ba48c207fa09eb86a1.png

e082645419ea58ae2e3adf89e2a694b5.png

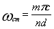
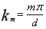
定义模式m的截止频率

b1e954cfa53d1d46759e454c38680027.png

则上式变为

519cb4e7b453b3b05f62ab05992fc3c1.png

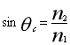
从上式可以看出截止频率的意义:即当

4a20e1e8d63591ed036be3004558f8bc.png

时,

a00bc2df8652655320e0788a652d9a50.png

为虚数,即该模式不能传播。将截止频率带入波长与频率关系式得到截止波长

829127cd13360d2e116c7f048e952fb2.png

只有波长小于截止波长时才能传播。这是波只有两个分量,如果还有Y轴的分量,那么应该还有一个参数来表征一般为n,所有一般模式可以用m,n来表征,如TE00,TM10等等。当然前面是从几何关系得到的,更一般还可以求解亥姆霍兹方程:

f1190b1e37222984dae834246d7f2259.png

一般在直角坐标系下求解得到这个方程的解

0d3bb4c9d5316946a4dd85153fc7245f.png

,接下来就利用边界条件,如果是二维情况,在边界是电场分量应该为零,因此我们可以得出K满足的条件,此时K应该是一些分离值,我们有

bbea6bd1f90f5a4b00f353e2ee57efe4.png

因此可以用m,n来表征。前面所述某种模式可以说是电场分布形式,某种模式也对应着某种频率,我们从上面截止频率和截止波长也可以看出,模式越高对应的截止波长越短,频率越高。波导中出现一些离散模式的原因的根本是由于不同于自由空间,因为其有边界条件,因此边界条件使其出现离散化,在量子力学中我们遇到过,如自由粒子能量是连续的(实际上完全的自由粒子在实际中并不存在),而在一些势阱中往往能量是分立的。

前面的模式对应的是频率,而是波导中还有横模的说法,而横模是能量分布,如波导沿着Z轴方向,那么横模就是X-Y平面的能量分布。

d06bc0d5826ad99b66e2bc133dedaf08.png

将圆柱形光纤简化为一个二维形式,电磁波沿着Z轴传播波导厚度言X方向。波导折射率为

5499b48031c63fb1cd6f7166cb5e07bf.png

,周围介质折射率为

463ac81552bf11803ddf91924a1e6b29.png

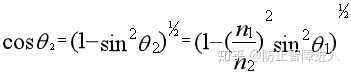
。要使波导工作,则周围介质的折射率较小,使光在波导内发生全反射。那么按照反射理论,边界上发生全反射意味着

cd61caa216c15f77a2458ec750070cff.png

f333885a9ce1b6c6cca4d78f5aefb2fd.png

等于1,此处反射系数分别为

81eb167f5b043ceb9f46705cbd0c233e.png

081fd0caf3e78aa17e76f8a524dcae0e.png

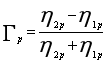
分别为TE波和TM波的反射系数。

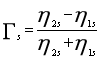
而由反射理论可知,要使两者为1,则有效阻抗

a7df62e3523cdd1327f7e286c6ee5cce.png

f0be08723735b2b2bf3aa3c6a7318d62.png

为纯虚数、零或无穷大。由于

c102839a5c1a68d6955abe2d9eefab3a.png

d0aa0f33f9ce121cb2e8c113b0976d48.png

现在要求

d564ba789494a83a06b283059cf07765.png

为零或纯虚数,有

7cdc6b239d5e3f37af5aec1114fa4b96.png

因此要求

bed60d700e090b7b12d6fcb944cbccb3.png

其中,临界角定义为:

6cb5e264ae229ebc9f24212680f14d71.png

运用亥姆霍兹方程:

8130185ae403cce2acf1c8853f09a92f.png

场的形式解为:

ca5005fcf86df5499c3c5b068f067b8a.png

带入亥姆霍兹方程,且由于波导具有对称性,期望电场也具有对称性则:

cba7ef0a7d65762e57e47675b3882d28.png

76fb0532a39a161857790e5a1799c1a0.png

f014ff20cd65829a19e3b2c30d1e1dbb.png

b4ba939802357e0ff332364dcbf730ab.png

以上为波导内部的解,由

3320b6a6751e1f88566b8da78fb475d1.png

可以看出给定频率下

4bf725a94c5b86a5fde8c0f750d351cc.png

值越大则

195a2d092918fe2044b27ad5ccb7a338.png

的值越小。

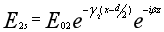
而对于波导边界处,对于TE电场解得形式应为

cdc28ade022bdb9e9ff5b081ddae7a76.png

dd3960466b1628bfc0d21d5dccc4730e.png

25cac962ebb7b9f287ab09a8779fb146.png

为虚数,于是可将其写为

883867a11a1e5841486fa762b6d951e3.png

此处

72e08c10ed2cb007cd8c47d3a0c25583.png

与波导外解就变为

e44eaf3a2e21d0d53222bbe047ef08a5.png

2a496a17d34790fc60340eb67fa236bf.png

dd1d0ee2246f75a00371f2b50f87d8d1.png

79eab0e95233fad2c2f7d6ff8e1b66fb.png

最后

以上就是忧心红酒最近收集整理的关于常数乘以无穷大等于多少_波导中的传播常数与模式的全部内容,更多相关常数乘以无穷大等于多少_波导中内容请搜索靠谱客的其他文章。

本图文内容来源于网友提供,作为学习参考使用,或来自网络收集整理,版权属于原作者所有。
点赞(199)

评论列表共有 0 条评论

立即
投稿
返回
顶部