530. 二叉搜索树的最小绝对差
难度简单415
给你一个二叉搜索树的根节点 root ,返回 树中任意两不同节点值之间的最小差值 。
差值是一个正数,其数值等于两值之差的绝对值。
示例 1:

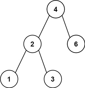
输入:root = [4,2,6,1,3] 输出:1
示例 2:

输入:root = [1,0,48,null,null,12,49] 输出:1
提示:
- 树中节点的数目范围是
[2, 104] 0 <= Node.val <= 105
递归
- 利用二叉搜索树的特性,进行中序遍历,因为二叉搜索树的中序遍历一定是有序的,所以最小绝对差一定是两两相邻值的差中产生.
- 同样的中序遍历,要记录上一个节点,同时也要维护一个min_val,更新最小绝对差
class Solution {
TreeNode prev = null;
int min_val = Integer.MAX_VALUE;
public int getMinimumDifference(TreeNode root) {
if(root==null) return 0;
getMinimumDifference(root.left);
if(prev!=null){
min_val = Math.min(min_val,root.val-prev.val);
}
prev = root;
getMinimumDifference(root.right);
return min_val;
}
}
总结:
利用二叉搜索树的特性,进行中序遍历,记录前一个指针prev.
最后
以上就是危机万宝路最近收集整理的关于530.二叉搜索树的最小绝对差递归的全部内容,更多相关530.二叉搜索树内容请搜索靠谱客的其他文章。
本图文内容来源于网友提供,作为学习参考使用,或来自网络收集整理,版权属于原作者所有。
发表评论 取消回复