我是靠谱客的博主 乐观心情,这篇文章主要介绍关于二叉树的遍历,现在分享给大家,希望可以做个参考。

首先要几下:不管哪种遍历方法,左子节点先于右子节点输出。

                                **“先左后右”**

先序遍历:(PreOrderTraverse)也叫作先根遍历,前序遍历。
根—-左——-右

中序遍历:(InOrderTraverse)
左—-根——–右

后序遍历:(PostOrderTraverse)
左—–右——–根

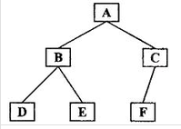
以下图为例子:

这里写图片描述
先序输出:A B D E C F
中序输出:D B E A F C
后序输出:D E B F C A

遍历可以由两种方式进行输出:递归调用和非递归调用。

递归方式调用起来比较简单,但要求逻辑想很强。
非递归调用,逻辑清晰,但是书写复杂。尤其是要用到栈来保存先前走过的路径,以便可以在访问完子树后,可以利用栈中的信息,回退到当前节点的双亲节点,进行下一步操作

后序遍历最复杂,原因在于,后序遍历是先访问左右子树,然后访问根节点,而在非递归算法中,利用栈回退到时,并不知道是从左子树回到根节点,还是从右子树回退到根节点,如果从左子树回退到根节点,此时就应该去访问右子树,而如果从右子树回退到根节点,此时就应该访问根节点。

非递归 二叉树遍历算法实现:

#include <iostream>
using namespace std;


typedef struct node{
    char data;
    struct node *lchild;
    struct node *rchild;

}BiNode,*BiTree;


typedef struct node1
{
    //默认30个元素,这里需要一个辅助堆栈
    BiTree data[30]; 
    int top;
}Stack;

//先序递归创建树,这里注意参数的类型,T的类型是*&,如果是
//**修改代码即可
void createTree(BiTree &T) 
{
    char ch;
     cin.get(ch).get(); //过滤输入流中每次回车产生的回车符
     //这里首先判断是不是空格,如果是,则为该节点赋值NULL
     if(ch == ' ') 
     {
         T = NULL;
     }
     else
     {
        T = (BiTree)malloc(sizeof(BiNode));
        T->data = ch;
        createTree(T->lchild);
        createTree(T->rchild);

     }
}

void initstack(Stack *&st)
{
    st = (Stack *)malloc(sizeof(Stack));
    st->top = -1;
}

bool isempty(Stack *st)
{
    return st->top == -1;
}


bool isfull(Stack *st)
{
    return st->top == 16;
}

void push(Stack *st,BiTree T)
{
    //栈顶指针始终指向堆栈最上面可用的一个元素,因此入栈时候,
    //先要将指针加1,然后再执行入栈操作!
    if(!isfull(st))
        st->data[++st->top] = T;
    else
        cout << "栈已满!" <<endl;
}

BiTree pop(Stack *st)
{
    //出栈时,先取出栈顶指针指向的元素,然后再将指针减1,
    //使其指向栈中下一个可用的元素!
    if(!isempty(st))
        return st->data[st->top--];
}

BiTree gettop(Stack *st)
{
    if(!isempty(st))
        return st->data[st->top];//获取栈顶指针指向的元素

}


void preOrderNodeTraverse(BiTree T)
{
    Stack *st;
    initstack(st);
    BiTree p;
    p = T;
    while   (p!=NULL || !isempty(st))
    {
        while(p!=NULL)
        {
            cout << p->data << " ";
            push(st,p);
            p = p->lchild;
        }
        if(!isempty(st))
        {
            p = pop(st);
            p = p->rchild;
        }
    }
}

void inOrderNodeTraverse(BiTree T)
{
    Stack *st;
    initstack(st);
    BiTree p;
    p = T;
    while(p!=NULL || !isempty(st))
    {
        while(p!=NULL)
        {
            push(st,p);
            p = p->lchild;

        }
        if(!isempty(st))
        {
            p = pop(st);
            cout << p->data << " ";         
            p = p->rchild;
        }
    }

}


void postOrderNodeTraverse(BiTree T) //后序遍历
{
    BiTree p;
    Stack *st;
    initstack(st);
    p = T;
    int Tag[20]; //栈,用于标识从左(0)或右(1)返回
    while(p!= NULL || !isempty(st))
    {
        while(p != NULL)
        {
            push(st,p);
            p = p->lchild;
        }
        while(!isempty(st) && Tag[st->top] == 1)
        {
            p = pop(st);
            cout<<p->data << " ";
        }
        if(!isempty(st))
        {
            Tag[st->top] = 1;//设置标记右子树已经访问
            p = gettop(st);
            p = p->rchild;

        }
        else
            break;
    }

}

int main()
{
    cout << "Enter char one by one             Hello C++ !" <<endl;

    BiNode *T;
    createTree(T);
    cout << endl;


    cout << "PreOderNode : " ;
    preOrderNodeTraverse(T);
    cout << endl;


    cout << "InOderNode : " ;
    inOrderNodeTraverse(T);
    cout << endl;


}









最后

以上就是乐观心情最近收集整理的关于关于二叉树的遍历的全部内容,更多相关关于二叉树内容请搜索靠谱客的其他文章。

本图文内容来源于网友提供,作为学习参考使用,或来自网络收集整理,版权属于原作者所有。
点赞(130)

评论列表共有 0 条评论

立即
投稿
返回
顶部