**
Adaboost算法:
**
设训练数据集T={(x1,y1),(x2,y2)…(xN,yN)}
初始化训练数据的权重分布

使用具有权值分布Dm的训练数据集学习,得到基本分类器

计算Gm(x)在训练数据集上的分类误差率

计算Gm(x)的系数

更新训练数据集的权值分布


这里,Zm是规范化因子

它的目的仅仅是使Dm+1成为一个概率分布

构建基本分类器的线性组合

得到最终分类器

**
实例
**
•给定下列训练样本,试用AdaBoost算法学习一个强分类器

解:
当m=1时:
•初始化训练数据的权重分布

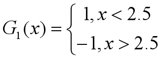
•对于m=1,在权值分布为D1的训练数据上,阈值v取2.5时误差率最低,故基本分类器为:

•G1(x)在训练数据集上的误差率为

•计算G1的系数

•更新训练数据的权值分布


D2={0.0715,0.0715,0.0715,0.0715,0.0715,0.0715,0.1666,0.1666,0.1666,0.0715}
分类器为:

•分类器sign(f1(x))在训练数据集上有3个误分类点。
当m=2时:
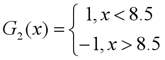
•对于m=2,在权值分布为D2的训练数据上,阈值v取8.5时误差率最低,故基本分类器为:

•G2(x)在训练数据集上的误差率为

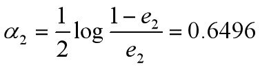
•计算G2的系数

•更新训练数据的权值分布


D3={0.0455,0.0455,0.0455,0.1667,0.1667,0.1667,0.1060,0.1060,0.1060,0.1060,0.0455}
分类器为:

•分类器sign(f2(x))在训练数据集上有3个误分类点。
当m=3时:
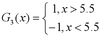
•对于m=3,在权值分布为D3的训练数据上,阈值v取5.5时误差率最低,故基本分类器为:

•G3(x)在训练数据集上的误差率为

•计算G3的系数

•更新训练数据的权值分布


D4={0.125,0.125,0.125,0.102,0.102,0.102,0.065,0.065,0.065,0.125}
分类器为:

•分类器sign(f3(x))在训练数据集上有0个误分类点。
最后
以上就是文艺可乐最近收集整理的关于机器学习算法----Adaboost的全部内容,更多相关机器学习算法----Adaboost内容请搜索靠谱客的其他文章。
发表评论 取消回复