1. 什么是Normal Equation
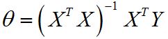
在线性回归中,为了求得代价函数最小时的参数值θ。我们一般采用梯度下降法,但是当训练样本较小时(不超过千数量级)采用“Normal Equation”进行求解更好。“Normal Equation”一般翻译成正规方程或者标准方程,其表达式如下:

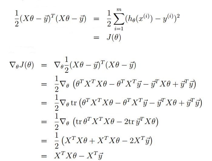
推导过程如下:

其中,用到了矩阵求导一些性质(http://blog.csdn.net/u012354244/article/details/46655709)。
2. Normal Equation的优缺点
与梯度下降相比,Normal Equation的优缺点如下。
优点:Normal Equation不需要设置learning rate;不需要多次迭代,一次性就可求解;不需要做特征收缩处理。
缺点:仅适用于训练集较小的情况;存在奇异阵导致无法求解,需要进一步处理成非奇异阵才可求解(通过删除共线的特征等方法)。
最后
以上就是干净期待最近收集整理的关于Normal Equation 简介的全部内容,更多相关Normal内容请搜索靠谱客的其他文章。
本图文内容来源于网友提供,作为学习参考使用,或来自网络收集整理,版权属于原作者所有。
发表评论 取消回复