
©PaperWeekly 原创 · 作者|董汉德
学校|中国科学技术大学硕士生
研究方向|信息检索

摘要
近些年来,推荐系统的偏差越来越受到研究者的关注。训练推荐模型的数据大多为观测所得,而非实验所得,这意味着数据中存在大量的偏差,直接拿模型拟合数据而忽略这种偏差将会导致性能欠佳。
该论文提出了一种基于元学习(meta-learning)的去偏方法,该方法包括两部分:1)总结归纳出了一种通用的去偏框架,该框架能够处理所有推荐系统中的偏差,将寻找最优去偏策略问题转化为设置框架中的去偏参数问题;2)利用少量的无偏数据作为监督信息,采用元学习的策略来学习框架中的去偏参数从而实现自适应的纠偏。

论文题目:
AutoDebias: Learning to Debias for Recommendation
收录会议:
SIGIR 2021
论文链接:
https://arxiv.org/abs/2105.04170
代码链接:
https://github.com/DongHande/AutoDebias

研究背景
推荐系统所用的数据中,偏差广泛存在,常见的偏差包括:
1. 选择偏差(selection bias):用户倾向于选择喜欢的物品进行交互;
2. 一致性偏差(conformity bias):用户的对物品的评价会受到群体意见的影响;
3. 曝光偏差(exposure bias):用户只被曝光在推荐系统展示的物品上并只与这些物品产生交互;
4. 位置偏差(position bias):用户和物品的交互情况可能被物品在推荐列表中的位置所影响。
目前的去偏算法主要可以分成三类:
1. 反倾向分数:估计数据被观测到的倾向性分数,并在每条数据样本利用倾向分数的倒数重加权;
2. 数据填充:由于观测到的数据往往是整个用户-物品矩阵中一个很小的有偏子集,可以通过对矩阵的合理填充来去偏;
3. 生成模型:假设数据的因果生成过程,通过优化整体的概率生成模型以挖掘出用户的真实兴趣。
这些方法能起到一定的去偏效果,然而其也具有如下的局限性:
1. 缺乏普适性:现有的去偏方法都是针对某一种/两种特定的偏差设计的,然而,现实数据中的偏差往往是多种并存的,在这中场景下现有方法无法取得很好的效果;
2. 缺乏自适应能力:现有方法往往依赖于专家的假设,例如假设倾向分数、矩阵填充值。然而数据中的偏差往往隐含着复杂的模式,不易被专家察觉;且偏差的模式也会随着时间的变化而变化,靠专家察觉偏差的模式不仅费时费力,而且往往具有滞后性。因此如何设计出普适的、自适应调整的去偏方法具有重要意义。

方法介绍
方法介绍共分为三部分:去偏框架的建立、建模去偏参数、学习去偏参数。
3.1 去偏框架的建立
要想建立一个通用的去偏框架,了解偏差内在的原因是必要的。该文章指出:推荐系统中的偏差可以定义为对于经验风险函数的估计的期望和真实理想的风险函数之间的差异。
在推荐系统中,训练数据往往是观测所得,即生成训练数据的概率分布和生成测试数据的概率分布存在一定的不一致,这种不一致将会导致对于经验风险函数估计的期望和真实的风险函数存在差异,进而导致根据训练数据学习出的模型与最优模型之间的差异。整个过程可以用如图 1 表示:

▲ 图1 推荐系统中偏差的定义
其中, 代表生成训练集的分布, 代表生成测试集的分布; 表示模型训练的经验风险函数,其中 为训练集中的训练数据,满足分布 ; 表示模型想要去优化的理想风险函数; 表示根据经验风险函数 所得的最优模型, 表示根据理想风险函数得到的最优模型。图 2 表示风险函数的差异将导致最优模型存在差异。

▲ 图2 风险函数的不一致性导致最优模型之间的差异
在这种理解之上,我们首先提出采用重加权(re-weighting)的方法去偏--对每个训练集中的样本加上特定的权重,即 ,其中 为训练集中观测到的样本。但是,如图 3 所示,训练集的分布可能在某些数据上取到 0,难以覆盖完整的数据空间。仅采用重加权的方式不能考虑到训练集未覆盖区域的信息,特别是当训练集未覆盖区域的信息和训练集中信息的模式不同的时候,重加权也无法消除所有偏差。
这个时候,我们进一步的采用填充(imputation)的方法可以进一步去偏,即进一步的引入项 ,其中 为填充值。填充可以理解为在训练集未覆盖区域,即图中的 构造伪标签数据,从而引导模型的模型。
总的来说,该框架可以表示为:

其中, 表示去偏参数。在此框架下,去偏任务转化为如何寻找合适的去偏参数。

▲ 图3 训练集的分布仅仅包含了整个数据分布的子集
3.2 建模去偏参数
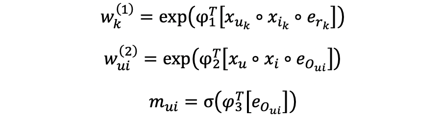
在上面的框架中,去偏参数量是巨大的,直接优化这些参数将会导致过拟合,且不具备任何泛化性能。为了克服这一局限,文章提出了用模型建模去偏参数,并用线性模型作为具体实例:

其中 是要学习的线性模型的参数,后面[ ]内是我们引入的特征,其中 分别表示由用户、物品、评分、状态信息构成的 one-hot 向量, 表示拼接操作。通过建模,去偏参数量将大幅减少,且可以将有用的特征引入到模型中,合理的建模也有利于增加模型的泛化性能。
3.2 学习去偏参数
指导模型学习到合理的去偏参数需要关于无偏数据的信号,因此需要引入少量的无偏数据 ,在推荐系统中,可近似的认为利用均匀策略(uniform policy)收集的数据为无偏数据。
学习去偏参数的任务被定义为一个双层优化的问题,内层优化为 ,外层优化为 ,即优化 的目标为使在 作为超参数训练得到的推荐模型 能够在均匀数据上取得最好的效果。

▲ 图4 自动去偏算法的计算图
具体优化的时候,该文采用基于一阶信息的优化过程,记录每一步 的优化,并调整 一步,使得该步 的优化在无偏集合上最优,如图 4 所示,优化共分为三个步骤:
(1)对 进行假设更新: ;
(2)对 进行更新: ,梯度传递的方向为:;
(3)对 进行更新: 。

实验结果
4.1 整体性能
表 1 验证在两个公开数据集下自动去偏算法和当前性能较好的算法的对比,可以看出,自动去偏算法取得了较大提升。

▲ 表1 显示反馈下和现有算法的性能对比
4.2 推荐结果分析
图 5 展示了不同算法推荐结果中对于流行物品和不流行物品的推荐情况,可以看出,自动去偏算法为不流行物品提供了更多的曝光机会,且提升也主要来自于不流行物品。这说明了自动去偏算法有利于打破推荐系统中的反馈回路(越来越倾向于推荐流行的物品),提供更好的推荐生态。

▲ 图5 不同算法的推荐结果分析
4.3 在其他类型的偏差下的性能对比
表 2 展示了在隐式反馈(主要存在曝光偏差)下各模型性能对比,表 3 展示了列表反馈下(用户对推荐列表的反馈数据,这里存在选择偏差和位置偏差的混合偏差)。可以看出,自动去偏算法能处理不同类型的偏差,对于多种偏差共存的场景也有较好的表现,这体现了自动去偏算法的普适性。

▲ 表2 隐式反馈下模型的性能对比

▲ 表3 列表反馈下的性能对比

结论
该文从风险不一致性的角度定义了推荐系统中的偏差,并设计出了通用的去偏方法—自动去偏算法(AutoDebias)。该方法能够自适应地学习去偏参数,具有较强的自适应能力,且通过实验验证了自动去偏算法具有较好的普适性,能够处理各种偏差及其组合。
更多阅读




#投 稿 通 道#
让你的论文被更多人看到
如何才能让更多的优质内容以更短路径到达读者群体,缩短读者寻找优质内容的成本呢?答案就是:你不认识的人。
总有一些你不认识的人,知道你想知道的东西。PaperWeekly 或许可以成为一座桥梁,促使不同背景、不同方向的学者和学术灵感相互碰撞,迸发出更多的可能性。
PaperWeekly 鼓励高校实验室或个人,在我们的平台上分享各类优质内容,可以是最新论文解读,也可以是学习心得或技术干货。我们的目的只有一个,让知识真正流动起来。
???? 来稿标准:
• 稿件确系个人原创作品,来稿需注明作者个人信息(姓名+学校/工作单位+学历/职位+研究方向)
• 如果文章并非首发,请在投稿时提醒并附上所有已发布链接
• PaperWeekly 默认每篇文章都是首发,均会添加“原创”标志
???? 投稿邮箱:
• 投稿邮箱:hr@paperweekly.site
• 所有文章配图,请单独在附件中发送
• 请留下即时联系方式(微信或手机),以便我们在编辑发布时和作者沟通
????
现在,在「知乎」也能找到我们了
进入知乎首页搜索「PaperWeekly」
点击「关注」订阅我们的专栏吧
关于PaperWeekly
PaperWeekly 是一个推荐、解读、讨论、报道人工智能前沿论文成果的学术平台。如果你研究或从事 AI 领域,欢迎在公众号后台点击「交流群」,小助手将把你带入 PaperWeekly 的交流群里。


最后
以上就是温暖书包最近收集整理的关于SIGIR 2021 | AutoDebias:推荐系统中通用的自动去偏方法的全部内容,更多相关SIGIR内容请搜索靠谱客的其他文章。
发表评论 取消回复