该论文:Nonlinear total variation based noise removal algorithms发表于1992年,它提出了经典的全变差图像去噪算法。
论文原文(永久有效):
链接:https://pan.baidu.com/s/1ofavZdXmsWC7LZkZXsulRg
提取码:l1g0
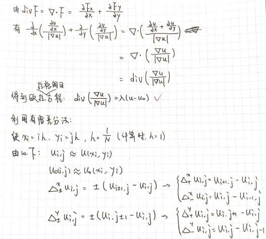
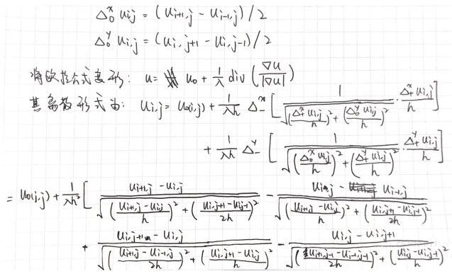
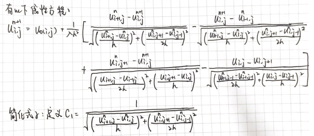
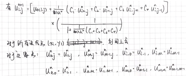
公式推导:






函数代码:
function u=hpROF(u0,IterMax,lambda)
u0=double(u0); %将原图像转化为双精度浮点型
[M N]=size(u0);
u=u0;
[M,N]=size(u); %【行数(高度),列数(宽度)】
h=1;% 空间离散
for Iter=1:IterMax, %迭代
for i=2:M-1,
for j=2:N-1,
%系数计算
ux=(u(i+1,j)-u(i,j))/h;
uy=(u(i,j+1)-u(i,j-1))/2*h;
Gradu=sqrt(ux*ux+uy*uy);
co1=1./Gradu;
ux=(u(i,j)-u(i-1,j))/h;
uy=(u(i-1,j+1)-u(i-1,j-1))/2*h;
Gradu=sqrt(ux*ux+uy*uy);
co2=1./Gradu;
ux=(u(i+1,j)-u(i-1,j))/2*h;
uy=(u(i,j+1)-u(i,j))/h;
Gradu=sqrt(ux*ux+uy*uy);
co3=1./Gradu;
ux=(u(i+1,j-1)-u(i-1,j-1))/2*h;
uy=(u(i,j)-u(i,j-1))/h;
Gradu=sqrt(ux*ux+uy*uy);
co4=1./Gradu;
u(i,j)=(u0(i,j)+(1/lambda*h*h)*(co1*u(i+1,j)+co2*u(i-1,j)+co3*u(i,j+1)+co4*u(i,j-1)))*(1/(1+(1/(lambda*h*h)*(co1+co2+co3+co4))));
% co=1./(1.+(1/lambda*h*h)*(co1+co2+co3+co4));
% div=co1*u(i+1,j)+co2*u(i-1,j)+co3*u(i,j+1)+co4*u(i,j-1);
% u(i,j)=(u0(i,j)+(1/lambda*h*h)*div)*co;
end
end
%边缘条件
for i=2:M-1,
u(i,1)=u(i,2); %第一列的计算等于第二列
u(i,N)=u(i,N-1); %最后一列的计算等于倒数第二列
end
for j=2:N-1,
u(1,j)=u(2,j);
u(M,j)=u(M-1,j); %同理,第一行和最后一行的计算等于和它相近的行
end
u(1,1)=u(2,2);
u(1,N)=u(2,N-1);
u(M,1)=u(M-1,2);
u(M,N)=u(M-1,N-1); %四个角的值也近似与它相近的点
%计算每次迭代的离散能量
en=0.0; %设能量初始值为0
for i=2:M-1,
for j=2:N-1,
ux=(u(i+1,j)-u(i,j))/h;
uy=(u(i,j+1)-u(i,j))/h;
fid=(u0(i,j)-u(i,j))*(u0(i,j)-u(i,j));
en=en+sqrt(ux*ux+uy*uy)+lambda*fid;
end
end
%计算每次迭代的能量
Energy(Iter)=en;
end
%画‘每次迭代的能量’图
figure
plot(Energy);legend('Energy/Iterations');
测试代码:
clear all;
IterMax=100;lambda=0.03;
%u0=imread('noisy.jpg');
pathForImages ='';
imageName = 'noisy.jpg';
[IMin0,pp]=imread(strcat([pathForImages,imageName]));
IMin0=im2double(IMin0);
if (length(size(IMin0))>2)
IMin0 = rgb2gray(IMin0);
end
if (max(IMin0(:))<2)
IMin0 = IMin0*255;
end
image=hpROF(IMin0,IterMax,lambda);
figure;
subplot(1,2,1);
imagesc(IMin0); axis image; axis off; colormap(gray);
title('原图像');
subplot(1,2,2);
imagesc(image); axis image; axis off; colormap(gray);
title('全变差去噪图像');
PSNR=psnr(IMin0,image)
SSIM=ssim(IMin0,image)
去噪结果


原图

最后
以上就是体贴芒果最近收集整理的关于经典全变分图像去噪算法(tv算法)公式推导与MATLAB实现的全部内容,更多相关经典全变分图像去噪算法(tv算法)公式推导与MATLAB实现内容请搜索靠谱客的其他文章。
本图文内容来源于网友提供,作为学习参考使用,或来自网络收集整理,版权属于原作者所有。
发表评论 取消回复