我是靠谱客的博主 会撒娇往事,这篇文章主要介绍l1范数最小化快速算法【文献阅读】,现在分享给大家,希望可以做个参考。

1:解决的问题模型如下:

这里写图片描述 
或者约束条件可以适当的松弛,即为如下模型: 
这里写图片描述 
当然约束条件取l2l2范数,bb数据获取的比较准确,结果逼近的效果更好,防止过拟合。如果取l1l1 范数,则是获取的bb数据,受到污染比较严重。并且bb 本身就是稀疏的。这也是人的经验对于模型的成功也是很重要的。 
2:几类优化算法 
(1)梯度投影算法Gradient Projection Methods 
原问题可以变为如下问题: 
这里写图片描述 
下面介绍两种方法对其进行处理。 
i)上式又等价于: 
这里写图片描述

这里写图片描述 
所以就有如下记号和约定: 
这里写图片描述 
更新zkzk 时沿着负梯度的方向下降最快。但是只是局部最小值。 
这里写图片描述 
其中akak 是步长,可以用线搜索的方法来确定最优步长。 
下介绍第二种方法 truncated Newton interior-point method. 
ii)上式又等价于: 
这里写图片描述 
利用内点法的把约束条件给罚到目标函数上去。 
在这里我们对约束条件利用logarithmic barrier函数进行改写。 
这里写图片描述 
在这里,我们可以看到当xixi 越接近ui或者−uiui或者−ui的时候,函数值会变得越大。当xixi 无限趋近于ui或者−uiui或者−ui时,则函数值无限趋于无穷大。所以只有当xixi 趋近于0时候,函数值才趋近于一个常数。 
所以上式可以等价于如下模型: 
这里写图片描述

然后利用牛顿算法进行求解计算。

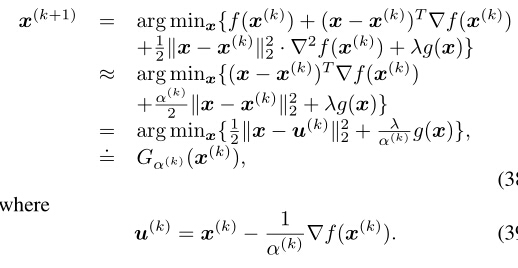
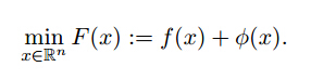
(2)迭代阈值收缩算法 Iterative Shrinkage-Thresholding Methods 
对于一般的模型: 
这里写图片描述 
其中:这里写图片描述

对f(x)f(x) 二次近似。则问题转变成如下: 
这里写图片描述 
可以适用迭代阈值算法。关于l_{1}范数最优化的迭代阈值算法的证明可以参见我的另一篇博客

(3)近端梯度算法 Proximal gradient method 
其处理的模型如下: 
这里写图片描述 
其中f(x)f(x)是连续可微的,微分函数满足利普希茨条件成立: 
这里写图片描述 
其中LL相当于代替f(x)f(x)的二阶偏导。 
那么可以进行如下算法来解决问题: 
这里写图片描述 
说明: 
第一步的更新:按照f(x)f(x)沿着负梯度的方向下降最快 
第二步的更新:有数值解,进行软阈值操作。 
(4)交替方向法 Alternating Direction Methods 
其实利用的是拉格朗日算法,来进行更新出来。解决的模型如下: 
这里写图片描述 
其拉格朗日函数如下: 
这里写图片描述 
问题变为分别最小化x,e,yx,e,y。 
说明: 
更新ee时,固定x,yx,y,直接求导,ee有数值解。 
更新xx 时,固定e,ye,y经过化简,可以运用软阈值进行操作计算。 
更新yy时,固定x,ex,e,直接求导,yy有数值解。

Fast ℓ 1-minimization algorithms and an application in robust face recognition

最后

以上就是会撒娇往事最近收集整理的关于l1范数最小化快速算法【文献阅读】的全部内容,更多相关l1范数最小化快速算法【文献阅读】内容请搜索靠谱客的其他文章。

本图文内容来源于网友提供,作为学习参考使用,或来自网络收集整理,版权属于原作者所有。
点赞(149)

评论列表共有 0 条评论

立即
投稿
返回
顶部