前言
这是用学习《用python进行数据分析》的连载。这篇博客记录的是学习第二章引言部分的内容
内容
一、分析usa.org的数据
(1)载入数据
import json
if __name__ == "__main__":
# load data
path = "../../datasets/bitly_usagov/example.txt"
with open(path) as data:
records = [json.loads(line) for line in data]
(2)计算数据中不同时区的数量
1、复杂的方式
# define the count function def get_counts(sequence): counts = {} for x in sequence: if x in counts: counts[x] += 1 else: counts[x] = 1 return counts
2.简单的方式
from collections import defaultdict
# to simple the count function def simple_get_counts(sequence): # initialize the all value to zero counts = defaultdict(int) for x in sequence: counts[x] += 1 return counts
简单之所以简单是因为它引用了defaultdicta函数,初始化了字典中的元素,将其值全部初始化为0,就省去了判断其值是否在字典中出现的过程
(3)获取出现次数最高的10个时区名和它们出现的次数
1.复杂方式
# get the top 10 timezone which value is biggest def top_counts(count_dict, n=10): value_key_pairs = [(count, tz) for tz, count in count_dict.items()] # this sort method is asc value_key_pairs.sort() return value_key_pairs[-n:]
# get top counts by get_count function
counts = simple_get_counts(time_zones)
top_counts = top_counts(counts)
2.简单方式
from collections import Counter # simple the top_counts method def simple_top_counts(timezone, n=10): counter_counts = Counter(timezone) return counter_counts.most_common(n)
simple_top_counts(time_zones)
简单方式之所以简单,是因为他利用了collections中自带的counter函数,它能够自动的计算不同值出现的次数,并且不需要先计算counts
(4)利用pylab和dataframe画出不同timezone的出现次数,以柱状图的形式。
from pandas import DataFrame, Series import pandas as pd import numpy as np import pylab as pyl # use the dataframe to show the counts of timezone def show_timezone_data(records): frame = DataFrame(records) clean_tz = frame['tz'].fillna("Missing") clean_tz[clean_tz == ''] = 'Unknown' tz_counts = clean_tz.value_counts() tz_counts[:10].plot("barh", rot=0) pyl.show()
以下是结果图:

我刚开始的时候,能够执行代码,但是一直显示不出这个图。后来我查阅了资料发现是因为,我用的是pycharm,它是一个编辑器,不处于pylab模式,所以你需要先引入pylab模块,然后执行 pylab.show()指令才能够使这个图出现。
(5)利用pylab和dataframe画出不同的timezone的window的分布情况
# use the dataframe to show the character of timezone and windows def show_timezone_winows(records): frame = DataFrame(records) # results = Series([x.split()[0] for x in frame.a.dropna()]) cframe = frame[frame.a.notnull()] operatine_system = np.where(cframe['a'].str.contains("Windows"), "Windows", "Not Windows") by_tz_os = cframe.groupby(["tz", operatine_system]) agg_counts = by_tz_os.size().unstack().fillna(0) indexer = agg_counts.sum(1).argsort() count_subset = agg_counts.take(indexer)[-10:] count_subset.plot(kind='barh', stacked=True) pyl.show() # let the sum to be 1 normed_subset = count_subset.div(count_subset.sum(1), axis=0) normed_subset.plot(kind='barh', stacked=True) pyl.show()
没有归一化前的结果图:

归一化后的结果图:
二、分析movielens的数据
(1)读取数据
users:记录了用户信息, ratings:记录了用户的评分信息, movies:记录了电影信息
import pandas as pd # read the three tables unames = ['user_id', 'gender', 'age', 'occupation', 'zip'] users = pd.read_table("../../datasets/movielens/users.dat", sep='::', header=None, names=unames) rnames = ['user_id', 'movie_id', 'rating', 'timestamp'] ratings = pd.read_table("../../datasets/movielens/ratings.dat", sep='::', header=None, names=rnames) mnames = ['movie_id', 'title', 'genres'] movies = pd.read_table('../../datasets/movielens/movies.dat', sep="::", header=None, names=mnames)
(2)合并数据
数据的合并用到了pandas中merge函数,它能够直接根据数据对象中列名直接推断出哪些列是外键
# merge data return pd.merge(pd.merge(users, ratings), movies)
(3) 查询同一电影不同性别的评分
def mean_score(data): ''' print the mean rating of the same title between genders :param data:the data source :return: ''' mean_ratings = data.pivot_table(values='rating', index=['title'], columns='gender', aggfunc='mean') rating_by_title = data.groupby('title').size() active_titles = rating_by_title.index[rating_by_title >= 250] mean_ratings = mean_ratings.ix[active_titles] print(mean_ratings)
这里要特别注意的是,现在的dataframe中的pivot_table中已经没有了rows和cols这两项,并且在定义聚集值是需要指定。
#以前的代码 mean_ratings = data.pivot_table('rating', rows='title', cols='gender', aggfunc='mean') #现在的代码 mean_ratings = data.pivot_table(values='rating', index=['title'], columns='gender', aggfunc='mean')
(4)计算评分分歧
def diff_score(mean_ratings, data): ''' calculate the diff between different group like male and female :param data: :return: ''' mean_ratings['diff'] = mean_ratings['M'] - mean_ratings['F'] # sorted the table by diff ,asc sorted_by_diff = mean_ratings.sort_index(by='diff') print("sorted by diff between male and female") print(sorted_by_diff[:10]) # calculate the most diff movies by ignoring gender rating_std_by_title = data.groupby('title')['rating'].std() rating_std_by_title.sort_values(ascending=False) print("sorted by diff in rating") print(rating_std_by_title[:10])
这里要注意的是,现在的series中已经没有order这个函数了,取而代之的是sort_values和sort_index,不过作用是一样的。从以下的代码可以看到区别。
#以前的代码 rating_std_by_title.order(ascending=False) #现在的代码 rating_std_by_title.sort_values(ascending=False)
三、分析婴儿姓名
(1)读取数据
def contact_data(): ''' contact all name in different year into one table :return: ''' years = range(1880, 2011) pieces = [] columns = ['name', 'sex', 'births'] for year in years: path = "../../datasets/babynames/yob%d.txt" % year frame = pd.read_csv(path, names=columns) frame['year'] = year pieces.append(frame) data = pd.concat(pieces,ignore_index=True) return data
(2)画出每年不同姓名的婴儿的出生数量
def gather_function(data): total_births = data.pivot_table(values='births', index=['year'], columns='sex', aggfunc=sum) total_births.tail() total_births.plot(title='total births by sex and year') pyl.show()
结果图:

(3)获取命名次数前1000的名字
def get_top1000(group): return group.sort_index(by='births', ascending=False)[:1000] def prop_function(data): names = data.groupby(["year", "sex"]).apply(add_prop) # print(np.allclose(names.groupby(['year', 'sex']).prop.sum(), 1)) grouped = names.groupby(['year', 'sex']) top1000 = grouped.apply(get_top1000) return top1000
这里比较特别的是用了apply进行groupby函数的group方法的重写。
(4)分析命名趋势
def name_trend(data, top1000): boys = top1000[top1000.sex == 'M'] girls = top1000[top1000.sex == 'F'] total_births = top1000.pivot_table(values='births', index=['year'], columns='name', aggfunc=sum) subset = total_births[['John', 'Harry', 'Mary', 'Marilyn']] subset.plot(subplots=True, figsize=(12, 10), grid=False, title="Number of births per year") pyl.show()
分析了john,harry,mary和marilyn这四个名字在不同年份的命名趋势。

(4)名字多样性的增长
有两种方式可以进行辅证
1.计算排名前1000的名字在所有名字中的占比。
def variety_growth(top1000): table = top1000.pivot_table(values='prop', index=['year'], columns='sex', aggfunc=sum) table.plot(title="sum of top1000.prop by year and sex", yticks=np.linspace(0, 1.2, 13), xticks=range(1880, 2020, 10)) pyl.show()
可以得到下图:
2.计算不同性别,不同年份,在top1000中需要多少个名字才能达到占比0.5
def get_quantile_count(group, q=0.5): group = group.sort_index(by='prop', ascending=False) return group.prop.cumsum().searchsorted(q)+1 def variety_growth(top1000): ''' show the plot of sum of top1000.prop by year and sex and the plot of number of the popular names in top 50% :param top1000: :return: ''' table = top1000.pivot_table(values='prop', index=['year'], columns='sex', aggfunc=sum) table.plot(title="sum of top1000.prop by year and sex", yticks=np.linspace(0, 1.2, 13), xticks=range(1880, 2020, 10)) pyl.show() diversity = top1000.groupby(['year', 'sex']).apply(get_quantile_count) diversity = diversity.unstack('sex') print(diversity.head())
结果如下:
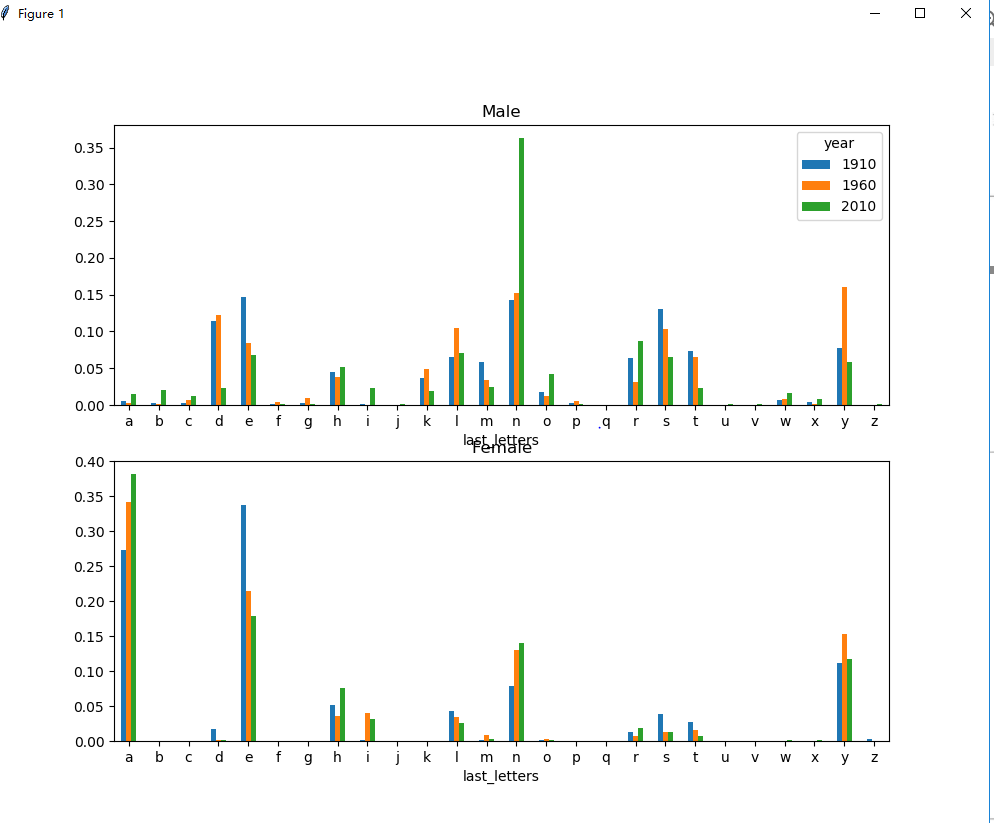
(4)最后一个字母的变革
查看不同年份,不同性别最后一个字母的占比。
def last_name(data): ''' the ratio of the character in last name by year and sex :param data: :return: ''' get_last_letter = lambda x: x[-1] last_letters = data.name.map(get_last_letter) data['last_letters'] = last_letters table = data.pivot_table(values='births', index=['last_letters'], columns=['sex', 'year'], aggfunc=sum) subtable = table.reindex(columns=[1910, 1960, 2010], level='year') letter_prop = subtable/subtable.sum().astype(float) fig, axes = plt.subplots(2, 1, figsize=(10, 8)) letter_prop['M'].plot(kind='bar', rot=0, ax=axes[0], title='Male') letter_prop['F'].plot(kind='bar', rot=0, ax=axes[1], title='Female', legend=False) pyl.show() letter_prop = table/table.sum().astype(float) dny_ts = letter_prop.ix[['d', 'n', 'y'], 'M'].T dny_ts.plot() pyl.show()
它的结果图如下:


在写这个代码的时候要注意,要加上一行 data['last_letters'] = last_letters,用来将last_letters这个列并入到data中,否则按照书上的代码执行会报错。
(5)变成女孩名字的男孩名字(以及相反情况)
def name_change_sex(top1000): allnames = top1000.name.unique() mask = np.array(['lesl' in i.lower() for i in allnames]) lesley_like = allnames[mask] # filter by lesley_like filtered = top1000[top1000.name.isin(lesley_like)] table = filtered.pivot_table(values='births', index=['year'], columns='sex', aggfunc=sum) table = table.div(table.sum(1), axis=0) table.plot(style={'M': 'k-', 'F': 'k--'}) pyl.show()
结果图:

转载于:https://www.cnblogs.com/whatyouknow123/p/9118174.html
最后
以上就是儒雅航空最近收集整理的关于用python进行数据分析--引言的全部内容,更多相关用python进行数据分析--引言内容请搜索靠谱客的其他文章。
发表评论 取消回复