3D到2D的针孔成像物理模型:

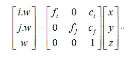
在针孔摄像机模型里,从三维世界中一点(x,y,z)到图像平面中一点(i,j)的映射如下:

其中,w为齐次坐标系中的缩放因子,用于对图像点进行描述,fi,fj为相机焦距长度与I,J方向像素尺寸的混合表示,(ci,cj)为光轴与图像平面的交点坐标。
最后
以上就是俭朴砖头最近收集整理的关于实用计算机视觉 -- 简单摄像机针孔模型的全部内容,更多相关实用计算机视觉内容请搜索靠谱客的其他文章。
本图文内容来源于网友提供,作为学习参考使用,或来自网络收集整理,版权属于原作者所有。
发表评论 取消回复