本文目录
- PyQt5桌面应用系列
- 前言
- 当君怀GUI日,是妾断肠时
- 几时得GUI去,依旧作山夫
- 需求分析
- 代码
- 事件循环的基本结构
- PyQt5的事件机制
- 启动事件循环
- 唯将往来信,遥将连信槽
- 借问Signal何处寻,牧童遥指[网络云](https://doc.qt.io)
- 小结
PyQt5桌面应用系列
- PyQt5桌面应用开发(1):需求分析
- PyQt5桌面应用开发(2):事件循环
- PyQt5桌面应用开发(3):并行设计
- PyQt5桌面应用开发(4):界面设计
- PyQt5桌面应用开发(5):对话框
- PyQt5桌面应用开发(6):文件对话框
- PyQt5桌面应用开发(7):文本编辑+语法高亮与行号
- PyQt5桌面应用开发(8):从QInputDialog转进到函数参数传递
- PyQt5桌面应用开发(9):经典布局QMainWindow
- PyQt5桌面应用开发(10):界面布局基本支持
- PyQt5桌面应用开发(11):摸鱼也要讲基本法,两个字,16
前言
坏的用户界面像根本不好笑的笑话,需要解释一下才能让人假笑。(匿名大佬)
优秀GUI程序就像真的很贵的那种保健娃娃:
- 能看;
- 能用。
所以,GUI程序有两个关键部分。
- 显示给用户交互的界面;
- 响应用户输入的机制。
能看先放在一边,作为一个攻城狮,最关心还是能用。
计算机系统与人类的交互,从计算机系统的发明一开始就是一个非常重要的研究方向。从UI/UX(用户界面/用户体验)这么多年的探索,从纸带/磁带/显示器,到键盘、轨迹球、鼠标、AR、VR,交互方式越来越丰富。虽然不同的计算机硬件形成各种交互方式,但最终靠近用户的部分都或多或少是一种称为事件循环的机制。这就是所谓的GUI(图形用户界面)程序。
GUI程序在屏幕上绘制一些图形,让用户可以采用鼠标和程序进行交互。与GUI程序对应的就是传统的基于流程的程序。
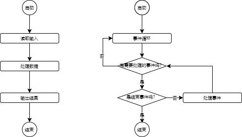
当君怀GUI日,是妾断肠时
传统程序的流程见左图,启动程序、读入数据、处理数据、输出结果、结束。
GUI程序的流程见右图,启动程序后进入一个循环,直到获得需要处理的事件,如果这个事件是退出,则结束程序,如果不是,那就处理事件,继续回到等待事件的循环。

GUI程序核心机制就是事件循环的概念。与传统程序顺序流相比,GUI程序的运行过程是非线性的,是天然包括循环和跳转的。从有GUI程序开始,大佬们就开始想尽办法使得GUI程序的开发更简单。
很早但不是那么早的时候有一本很有名的书,叫做深入浅出MFC。当时这本书,大家都觉得是神作。作者侯俊杰把MFC也就是以前(现在也还能用)Windows程序开发的主流框架里的消息机制,以及这种消息机制与WINDOWS API、面向对象开发语言之间的纠缠解释得特别清楚。那个时候,计算机专业一堆人硬啃……简直疼不生育……
这个消息机制(也就是所谓事件循环),在新的编程语言和GUI框架里面,特别是Python和PyQt5里面,已经特别简单。
几时得GUI去,依旧作山夫
举个例子,就拿《Python Qt GUI 快速编程》这本书的第一个例子“定时器”来看。
这个定时器的例子,没有什么复杂布局和控件,甚至连是用命令行启动的,也没有什么用户点击事件、用户输入事件。这个程序很好地展示一个人工的事件处理过程,就是定时事件。
说句题外话,定时是计算机的物理基础。
需求分析
首先,我们穿上内裤,哦不,需求分析。
这个例子提供设定定时器到时提醒的功能。
- 报表:显示一个提示。
- 数据:显示提示的时间。
数据怎么来?简单点,作为命令行,输入“HH:MM”的形式。
那么这个程序,剩下的就是:
- 如何显示一个提示,选择直接显示一个QLabel;
- 另外,可以考虑显示后自己关闭。
下面就是完整代码:
代码
import sys
import time
from PyQt5.QtCore import QTime, Qt, QTimer
from PyQt5.QtWidgets import QApplication, QLabel
if __name__ == '__main__':
app = QApplication(sys.argv)
try:
due = QTime.currentTime()
if len(sys.argv) < 2:
raise ValueError
hours, minutes = sys.argv[1].split(":")
due = QTime(int(hours), int(minutes))
if not due.isValid():
raise ValueError
if len(sys.argv) > 2:
message = " ".join(sys.argv[2:])
message = f"Alert @ {hours}:{minutes}!"
except ValueError:
message = "USAGE: python alarm.py HH:MM"
while QTime.currentTime() < due:
time.sleep(20)
label = QLabel(f"<font color=red size=72><b>{message}</b></font>")
label.setWindowFlags(Qt.SplashScreen | Qt.WindowStaysOnTopHint)
label.show()
QTimer.singleShot(10000, app.quit)
app.exec_()
while QTime.currentTime() < due:
time.sleep(20)
事件循环的基本结构
按照前面的介绍,GUI程序的事件循环基本上就是这个样子:
while True:
event = getNextEvent()
if event is not None:
if event == Terminate:
break
processEvent(event)
这个,因为只有一个事件,更加简化为:
while QTime.currentTime() < due:
time.sleep(20)
这里的sleep函数就是大多数GUI中实现并行的核心。
PyQt5的事件机制
上面的while循环是为展示事件循环。在PyQt5,内嵌了完善的循环机制。
启动事件循环
app.exec_()
所以常常配合结束程序的典型代码(例如:PyQt5桌面应用开发(1):需求分析)是:
sys.exit(app.exec_())
这句话的执行逻辑:
- 启动
QApplication的事件循环; - 当事件循环结束时,把
QApplication.exec_的返回值作为参数调用sys.exit。
唯将往来信,遥将连信槽
除了前面人为的事件循环,上述程序中,隐含处理了至少两个系统事件,一个是label.show()会触发一个paint事件,另外一个就是定时器关闭程序的事件。
QTimer.singleShot(10000, app.quit)
这一行代码效果上约等于下面的代码:
t = QTimer()
t.setSingleShot(True)
t.setInterval(10000)
t.timeout.connect(app.quit)
t.start()
其中,信号和槽的连接为:
t.timeout.connect(app.quit)
这个的timeout就是一个信号,而app.quit就称为是槽。PyQt5为大多数用户界面元素定义了常用的信号,可以在程序中直接使用。此外,用户还能自己定义信号,通常作为类(必须是QObject的子类)的变量,并赋值为PyQt5.QtCore.pyqtSignal()。
class Myclass(QObject):
over = pyqtSignal()
def some_func():
pass
后面就能像PyQt5定义的信号一样使用。
mc = Myclass()
mc.over.connect(some_func)
mc.over.emit()
借问Signal何处寻,牧童遥指网络云
PyCharm中能够找到Qt帮助文档的链接。

在右边①的位置可以找到所有signal的链接;还可以通过②找到其父类,然后在①同样的位置寻找signal。

通过这种办法,我们可以找到QLabel的父类QWidget有一个信号:customContextMenuRequested,可以定义在控件上点击右键打开上下文相关菜单的事件:
label.setContextMenuPolicy(Qt.CustomContextMenu)
label.customContextMenuRequested.connect(lambda pos: print(f"{pos} context menu requested"))
这个槽没啥用,只会输出一些信息:
PyQt5.QtCore.QPoint(291, 32) context menu requested
一般而言应该显示一个QMenu,增加几个QAction,这又是另外一个故事。
menu= QMenu()
menu.addAction(QAction("test 1", self))
menu.addAction(QAction("test 2", self))
menu.addAction(QAction("test 3", self))
menu.exec(pos.globalPos())
小结
- GUI程序用事件循环机制来处理用户输入、定时器、中断……
- PyQt5把事件循环机制抽象为信号和槽;
- 信号代表一个事件,槽代表对应的处理函数;
- 调用的语法:
signal.connect(slot)
最后
以上就是俏皮唇膏最近收集整理的关于PyQt5桌面应用开发(2):事件循环PyQt5桌面应用系列前言当君怀GUI日,是妾断肠时几时得GUI去,依旧作山夫PyQt5的事件机制小结的全部内容,更多相关PyQt5桌面应用开发(2):事件循环PyQt5桌面应用系列前言当君怀GUI日,是妾断肠时几时得GUI去,依旧作山夫PyQt5内容请搜索靠谱客的其他文章。
发表评论 取消回复