算法原理
(t,w)门限密钥共享方案,该方案是Shamir在1979年提出。Shamir(t,w)门限方案是通过构造一个t-1次多项式,将需要共享的主密钥S作为常数项,碎片密钥分成w部分给w个参与者,当碎片密钥数量大于或者等于t的话,就可以求解出这个主密钥S。
子密钥生成
构造多项式
其中s为密钥,p为素数(s
取w个不相等的x带入F(x)中,得到w组子密钥,分发给w个人保管
将p公开,销毁子密钥生成多项式,每个人保管自己的子密钥
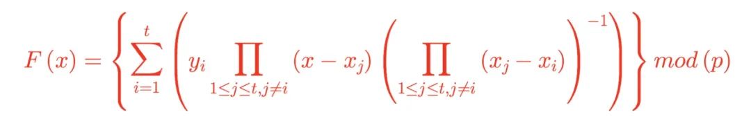
恢复密钥
构造多项式
此多项式为上面多项式的变形
取x=0,代入t组密钥可以求解出F(0),也就是主密钥s
算法实现代码
python代码
import random
import math
# 输入p, w, t, s 程序入口
def runCode(predefineData):
p = 0
w = 0
t = 0
s = 0
if not predefineData:
tempstr = input("输入素数(p)n")
p = int(tempstr)
p = testPrimality(p)
w = input("输入持有子密钥的人数n")
t = input("请输入门限人数n")
if(int(w)>=int(t)):
print("建立 (" + str(t) + ", " + str(w) + ")门限密钥")
s = input("输入你的主密钥(s))
s = int(s)
print("secret:",s)else:
print("门限值大于拥有密钥的人数")
runCode([])
predefineData = [w,t,p,s]else:
w = predefineData[0]
t = predefineData[1]
p = predefineData[2]
s = predefineData[3]
generatesubKey(t,w,s,p) # 生成子密钥
generateMainKey(s,p,t) # 求解主密钥# 生成子密钥def generatesubKey(t_str,w_str,s,p):
a_j=[0] # 存放多项式系数列表
x_i=[0] # 多项式x取值列表
t = int(t_str)
w = int(w_str)
x_i = randomList(1,w,w,True) # 获取x 不相同
a_j = randomList(1,5,t-1,False) # 多项式参数
x_i.sort() # 升序排列x
print("x_i:",x_i)
print("a_j:",a_j)
subKey = {} #子密钥字典for i in range(0,w):
polynomialSum = s; #多项式求和
x = x_i[i]for j in range(0,t-1):
a = a_j[j]
polynomialSum += (a*math.pow(x,j+1))
regsubK = polynomialSum % p # 得到其中一个子密钥
subKey[x] = int(regsubK) # 添加到密钥字典# print(subKey)# 处理输出多项式字符串
polynomialStr = "f(x) = ("+str(s)+" + "for i in range(0,t-1):
polynomialStr += str(a_j[i])+"x^"+str(i+1)+" + "
polynomialStr = "".join(list(polynomialStr)[:-3])
polynomialStr += ") mod("+str(p)+")"
print("表达式:",polynomialStr)
print("生成的密钥:n")# 打印子密钥for key,value in subKey.items():
print("("+str(key)+","+str(value)+")")return subKey# 获取子密钥def getSubset(t):
print("n输入大于"+t+"组密钥进行解密")
Subset_RAWstr = input("n获取子密钥n请输入x值n")
Subset_str = Subset_RAWstr.split()
Subset = {}
Subset_mm = input("请输入x对应的子密钥n")
Subset_mm = Subset_mm.split()
ind = 0for ID in Subset_str:try:
ID = int(ID)
Subset_mm[ind] = int(Subset_mm[ind])
Subset[ID] = Subset_mm[ind]
ind = ind +1except:
print("Error in list entered, try again")
Subset = getSubset(t)#ADD RECURSIVE FUNCTIONreturn Subset# 生成主密钥def generateMainKey(s,p,t):
x_list = []
y_list = []
subSet = getSubset(t) # 输入密钥
recoveredS = 0# 遍历输入密钥字典 生成x yfor key,value in subSet.items():
x_list.append(key)
y_list.append(value)
print("("+str(key)+","+str(value)+")")# 生成解密表达式 for i in range(0,len(x_list)):
x_i = x_list[i]
temp_j = 1for j in range(0,len(x_list)):if(j!=i):
x_j = x_list[j]
temp_one = float(x_j)/(x_j-x_i)
temp_j = temp_j * temp_one# print("("+str(x_i)+","+str(y_list[i])+"):",y_list[i] * temp_j)
recoveredS += y_list[i] * temp_j# print("recoveredS ",recoveredS)
recoveredS = int(round(recoveredS)) # 四舍五入 int
recoveredS = recoveredS % p
print("密钥值为: ",recoveredS)if recoveredS == s:
print("解密成功n")else:
print("解密失败n")
resp = input("是否再次解密?n")if resp.upper() == "Y":
generateMainKey(s,p,t)else:pass
print("OVERn")return recoveredS# 检测素数def testPrimality(p):
temp = p;
p = math.sqrt(p)
p = int(p)for i in range(2, (p+1)):
f = temp / iif(f.is_integer()):
newP = input("Enter prime number")
newP = int(newP)
newP = testPrimality(newP)
temp = newPbreakreturn temp# 得到一个随机数 state: true 不重复 false 可以重复def getRandomNum(xlist, start, stop, state): # x_subi = []
x = random.randint(start, stop)if state is True:if not x in xlist:return xelse:
x = getRandomNum(xlist,start, stop, state)return xelse:return x# 得到随机列表 state: true 不重复 false 可以重复def randomList(start,stop,length,state):if length>=0:
length=int(length)
start, stop = (int(start), int(stop)) if start <= stop else (int(stop), int(start))
random_list = []for i in range(length):
num = getRandomNum(random_list,start, stop, state)
random_list.append(num)return random_list# runCode(["5","3",11,5])
runCode([])
解密成功
输入素数(p)
11
输入持有子密钥的人数
5
请输入门限人数
3
建立 (3, 5)门限密钥
输入你的主密钥(s)10
secret: 10
x_i: [1, 2, 3, 4, 5]
a_j: [1, 1]
表达式:f(x) = (10 + 1x^1 + 1x^2) mod(11)
生成的密钥:
(1,1)
(2,5)
(3,0)
(4,8)
(5,7)
输入大于3组密钥进行解密
获取子密钥
请输入x值
1 2 3
请输入x对应的子密钥
1 5 0
(1,1)
(2,5)
(3,0)
密钥值为: 10
解密成功
解密失败
是否再次解密?
Y
输入大于3组密钥进行解密
获取子密钥
请输入x值
1 2
请输入x对应的子密钥
1 5
(1,1)
(2,5)
密钥值为: 8
解密失败
对你有用的话点个“在看”和“喜欢”吧!?
最后
以上就是外向楼房最近收集整理的关于shamir秘密共享算法_密码学算法:shamir门限密钥共享算法的全部内容,更多相关shamir秘密共享算法_密码学算法内容请搜索靠谱客的其他文章。
本图文内容来源于网友提供,作为学习参考使用,或来自网络收集整理,版权属于原作者所有。
发表评论 取消回复