三、行列式的几何意义:
行列式的定义:
行列式是由一些数据排列成的方阵经过规定的计算方法而得到的一个数。当然,如果行列式中含有未知数,那么行列式就是一个多项式。它本质上代表一个数值,这点请与矩阵区别开来。矩阵只是一个数表,行列式还要对这个数表按照规则进一步计算,最终得到一个实数、复数或者多项式。
一阶行列式
(注意不是绝对值)
二阶行列式

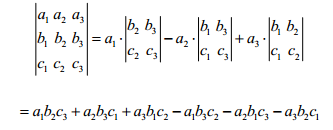
三阶行列式

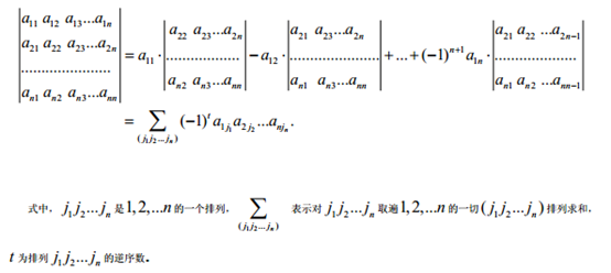
N阶行列式

最后
以上就是追寻白猫最近收集整理的关于【线性代数的几何意义】行列式的几何意义三、行列式的几何意义: 的全部内容,更多相关【线性代数的几何意义】行列式的几何意义三、行列式的几何意义:内容请搜索靠谱客的其他文章。
本图文内容来源于网友提供,作为学习参考使用,或来自网络收集整理,版权属于原作者所有。
发表评论 取消回复