上一篇博客讲了一下二项分布,这一篇打算讲一下几何分布。
其实,几何分布跟二项分布极为相似,至于相似到了什么地步,话不多说,往下看您就知道了。
由于是同系列的博客,所以用同样的思路来讲。
首先,我们得了解一下什么是几何分布,也即,满足什么样条件的分布才是几何分布?
满足以下四个条件:
(1)做某事件的次数(也叫试验次数)是固定的,用n表示。(例如,抛硬币3次,求婚101次)
(2)每一次事件都有两个可能的结果(成功,或者失败)。(例如,求婚被接受(成功),求婚被拒绝(失败))
(3)每一次“成功”的概率都是相等的,成功的概率用p表示。
(4)这一点也即和二项分布的区别所在,二项分布求解的问题是成功x次的概率。而几何分布求解的问题则变成了——试验x次,才取得第一次成功的概率。 举个栗子,求婚101次,第101次才被接受。的概率。
如何计算几何分布事件的概率?
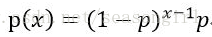
很简单,用下面的公式:

其中,p表示成功的概率,x表示试验的次数。
计算上面那个栗子,求婚成功的概率为0.5,求婚101次才被接受的概率为:
P(求婚101次获得成功)=(1-0.5)^100 * 0.5 = 0.5^100
几何分布的期望是E(x)=1/p,具体含义为,如果你每次求婚成功的概率为0.5,那么你可以期望自己求婚2次就获得成功。
几何分布的标准差:

参考资料
[1]https://www.zhihu.com/question/36214010/answer/208718886
[2]https://baike.baidu.com/item/%E5%87%A0%E4%BD%95%E5%88%86%E5%B8%83/10676983?fr=aladdin
最后
以上就是害羞长颈鹿最近收集整理的关于离散型概率分布之二——几何分布的全部内容,更多相关离散型概率分布之二——几何分布内容请搜索靠谱客的其他文章。
发表评论 取消回复