Neural Collaborative Filtering
主要思想:
作者使用神经网络解决推荐中的协同过滤问题,使用多层感知机学习用户-物品的交互函数,使用神经网络代替矩阵分解中的点乘
文章的主要贡献:
1.使用神经网络结构建模用户物品的潜在特征,并基于神经网络结构提出了一个通用的框架NCF
2.证明MF是NCF的一种特殊化形式,NCF使用多层感知机建模高层次的非线性特征
3.在两个真实的数据集上论证了NCF的有效性
模型结果结构:

通用框架:
输入层是用户物品的one-hot表示,
embedding层是将其映射为低维稠密向量
Neural CF Layers将用户、物品的向量表示通过多层感知机进行交互
输出层为预测的评分,通过最小化预测值和真实值之间的平方损失进行模型的训练

整体框架:
交互部分分为GMP MLP两部分

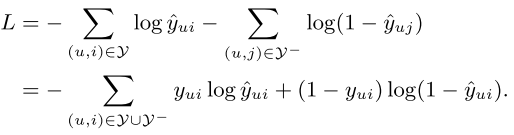
损失函数:

实验:
数据集:

评估方法:
留一法,最后一次交互用于测试,其它数据用于训练,评估时为用户随机采样100个未交互的项和测试项一起排序,使用 Hit Ratio(HR) 和 Normalized Discounted Cumulative Gain (NDCG)进行性能的评估
实验结果:
在不同向量维度下的结果:

不同Top-k下的结果:
是否预训练的影响:

训练损失和推荐性能的结果可视化:
负采样个数的影响:
两个数据集下MLP不同层数结果的探索:


总结:
1.使用多层感知机构建用户物品新的交互形式
2.矩阵分解和多层感知机使用不同的参数,参数量增多
最后
以上就是敏感心情最近收集整理的关于WWW2017 Neural Collaborative Filtering的全部内容,更多相关WWW2017内容请搜索靠谱客的其他文章。
发表评论 取消回复