ML与math:机器学习与高等数学基础概念、代码实现、案例应用之详细攻略——基础篇
目录
一、ML与高等数学
0、基础数学
1、导数、方向导数、梯度
1.1、概念简介
1.2、代码实现
2、Taylor展开
3、凸函数
二、ML与概率统计
1、古典概率
2、贝叶斯公式
3、常见概率分布
4、重要统计量(基于全局的而不是样本)
5、不等式系列
6、样本估计参数
7、先验概率、后验概率
三、ML与线性代数
相关文章
ML与math:机器学习与高等数学基础概念、代码实现、案例应用之详细攻略——基础篇
ML与math:机器学习与高等数学基础概念、代码实现、案例应用之详细攻略——进阶篇
DL之simpleNet:利用自定义的simpleNet(设好权重)对新样本进行预测、评估、输出梯度值
一、ML与高等数学
0、基础数学
(1)、平方根:一般若干次(5、6次)迭代即可获得比较好的近似值。
(2)、拉格朗日函数解决带约束的优化问题
1、导数、方向导数、梯度
1.1、概念简介



(1)、已知函数f(x)=x^x,x>0,求f(x)的最小值:在信息熵中会遇到
(2)、方向导数、梯度

1.2、代码实现
(1)、求导:利用微小的差分求导数的过程称为数值微分(numerical differentiation)

#利用微小的差分求导数的过程称为数值微分(numerical differentiation)
def numerical_diff(f, x):
h = 1e-4 # 0.0001
return (f(x+h) - f(x-h)) / (2*h)
(2)、实现简单的函数求导
![]()

import numpy as np
import matplotlib.pylab as plt
def numerical_diff(f, x):
h = 1e-4 # 0.0001
return (f(x+h) - f(x-h)) / (2*h)
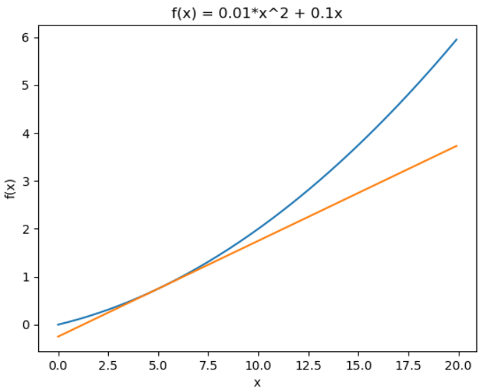
def function_1(x):
return 0.01*x**2 + 0.1*x
def tangent_line(f, x):
d = numerical_diff(f, x)
print(d)
y = f(x) - d*x
return lambda t: d*t + y
x = np.arange(0.0, 20.0, 0.1) # 以0.1为单位,从0到20的数组x
y = function_1(x)
tf = tangent_line(function_1, 5)
y2 = tf(x)
plt.xlabel("x")
plt.ylabel("f(x)")
plt.plot(x, y)
plt.plot(x, y2)
plt.title('f(x) = 0.01*x^2 + 0.1x')
plt.show()
#对函数求导:在x=5 和x=10 处的导数
#利用微小的差分求导数的过程称为数值微分(numerical differentiation)
print('x=5 处求导:',numerical_diff(function_1, 5))
print('x=10 处求导:',numerical_diff(function_1, 10))
#和真实结果对比,发现虽然严格意义上并不一致,但误差非常小。实际上,误差小到基本上可以认为它们是相等的。
0.1999999999990898
x=5 处求导: 0.1999999999990898
x=10 处求导: 0.2999999999986347
(3)、求偏导数

(4)、梯度法求的最小值
![]()
(5)、综合案例
输出结果
求x0=3, x1=4时,关于x0的偏导数: 6.00000000000378
求x0=3, x1=4时,关于x1的偏导数: 7.999999999999119
求点(3, 4)、(0, 2)、(3, 0) 处的梯度
[6. 8.]
[0. 4.]
[6. 0.]
求函数最小值: [-6.11110793e-10 8.14814391e-10]
学习率过大的例子:lr=10.0: [-2.58983747e+13 -1.29524862e+12]
学习率过小的例子:lr=1e-10: [-2.99999994 3.99999992]
输出权重参数:
[[-1.20419093 2.09426703 1.46228252]
[ 1.74419802 0.55102885 1.2495018 ]]
输出预测: [0.84726366 1.75248618 2.00192113]
最大值的索引: 2
loss: 0.7392699844784301
求出梯度值:
[[ 0.09028775 0.22323484 -0.31352259]
[ 0.13543162 0.33485226 -0.47028388]]
实现代码
ML之Math:理解机器学习的数学基础之求导、求偏导、求梯度、定义梯度下降算法(并尝试调参lr)
2、Taylor展开

(1)、Taylor公式的应用:求e^x

(2)、Taylor公式的应用:
3、凸函数

(1)、凸函数的判定:
定理:f(x)在区间[a,b]上连续,在(a,b)内二阶可导,那么:
若f’’(x)>0,则f(x)是凸的;
若f’’(x)<0,则f(x)是凹的
即:一元二阶可微的函数在区间上是凸的,当且仅当它的二阶导数是非负的
(2)、凸函数性质的应用:下边的式子在最大熵模型内容
二、ML与概率统计
概率与统计,其实关注的是两个不同类的点,实际上是两个相反的思路。
概率:已知总体,去求具体事件A的概率;
统计:已知某件事B发生,估计产生事件B的总体概率是多少。
(1)、生日悖论
(2)、将12件正品和3件次品随机装在3个箱子中。每箱中恰有1件次品的概率是多少?
解:将15件产品装入3个箱子,每箱装5件,共有15!/(5!5!5!)种装法;
先把3件次品放入3个箱子,有3!种装法。对于这样的每一种装法,把其余12件产品装入3个箱子,每箱装4件,共有12!/(4!4!4!)种装法;
P(A)= (3!*12!/(4!4!4!)) / (15!/(5!5!5!)) = 25/91
1、古典概率
(1)、举例:将n个不同的球放入N(N≥n)个盒子中,假设盒子容量无限,求事件A={每个盒子至多有1个球}的概率。

2、贝叶斯公式
3、常见概率分布
(0)、统计参数总结:
| 均值 | 期望,一阶 |
| 方差 | 标准差,二阶 1)、变异系数Coefficient of Variation:标准差与平均数的比值称为变异系数,记为C·V |
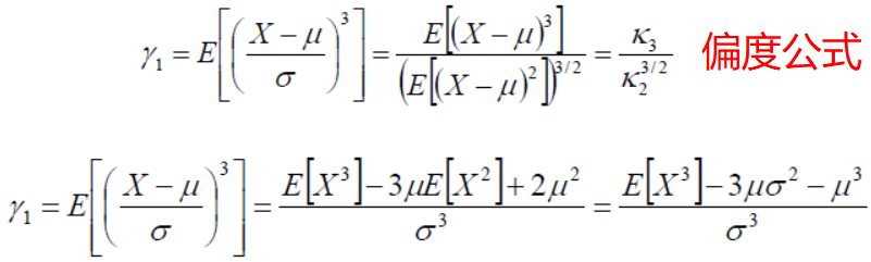
| 偏度 | Skew三阶。![]() (1)、偏度衡量随机变量概率分布的不对称性,是概率密度曲线相对于平均值不对称程度的度量。 (2)、三阶累积量与二阶累积量的1.5次方的比率。偏度有时用Skew[X]来表示。 (3)、偏度的值可以为正,可以为负或者无定义。
|
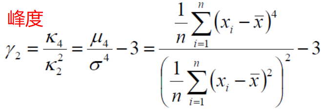
| 峰度 | Kurtosis四阶 ![]() (1)、峰度是概率密度在均值处峰值高低的特征,通常定义四阶中心矩除以方差的平方减3。 (1)、也被称为超值峰度(excess kurtosis)。“减3”是为了让正态分布的峰度为0。 超值峰度为正,称为尖峰态(leptokurtic);超值峰度为负,称为低峰态(platykurtic) |
1)、统计参数应用举例:特异值处理

(1)、两点分布(0-1分布)、二项分布、泊松分布、均匀分布、指数分布(其无记忆性)、正态分布
(2)、概率题转为图求解
A、B两国元首相约在首都机场晚20点至24点交换一份重要文件。如果A国的飞机先到,A会等待1个小时;如果B国的飞机先到了,B会等待2个小时。假设两架飞机在20点至24点降落机场的概率是均匀分布,试计算能够在20点至24点完成交换的概率。注:假设交换文件本身不需要时间。
| 解:假定A到达的时刻为x,B达到的时刻为y,则完成交接需满足0<y-x<1或者0<x-y<2; 同时要求20<x<24,20<y<24; 由于x,y系数都为1,为作图方便,可以将24<x<20,24<y<20平移成4<x<0,4<y<0。 | 三角形面积9/2、2,矩形面积16,概率19/32![]() |
(3)、一定接受率下的采样
已知有个rand7()的函数,返回1到7随机自然数,让利用这个rand7()构造rand10() 随机1~10。
解:因为rand7仅能返回1~7的数字,少于rand10的数目。因此,多调用一次,从而得到49种组合。超过10的整数倍部分,直接丢弃。

4、重要统计量(基于全局的而不是样本)
(1)、期望与方差
期望:可以理解为这个变量的平均值,是对随机变量本身“客观价值”的一种表现。因为随机无法确定,大家心里需要有个数,这个随机的因素到底围绕的哪条线变化,期望就是那条线。
方差:是另一种特征,他描述的是随机变量的波动性(围绕着期望波动)的大小。方差越大,说明这个事变数越大,容易偏离平均值很远。
(2)、协方差与相关系数
协方差:两个变量在变化过程中是同方向变化?还是反方向变化?同向或反向程度如何? 你变大,同时我也变大,说明两个变量是同向变化的,这时协方差就是正的。 你变大,同时我变小,说明两个变量是反向变化的,这时协方差就是负的。 从数值来看,协方差的数值越大,两个变量同向程度也就越大。反之亦然。
相关系数:是用以反映变量之间相关关系密切程度的统计指标。比如,降维算法就是从10万变量中,挑选相关系数Top1000。
- 相关系数是指利用ML提取的10万个特征向量,分别与标签向量之间得到,从而挑选相关系数。
-
相关系数矩阵可以发现特征之间的相关性,越蓝越靠近1越正相关。

(3)、独立和不相关
5、不等式系列
Jensen不等式:
切比雪夫不等式:
大数定律:
中心极限定理:
1、标准的中心极限定理的问题及应用
(1)、有一批样本(字符串),其中a-z开头的比例是固定的,但是量很大,需要从中随机抽样。样本量n,总体中a开头的字符串占比1%,需要每次抽到的a开头的字符串占比(0.99%,+1.01%),样本量n至少是多少?
问题重述:大量存在的两点分布Bi(1,p),其中,Bi发生的概率为0.01,即p=0.01。取其中的n个,使得发生的个数除以总数的比例落在区间(0.0099,0.0101),则n至少是多少?
2、中心极限定理的意义
6、样本估计参数
矩估计
极大似然估计
7、先验概率、后验概率
(1)、
三、ML与线性代数
1、矩阵连乘问题从算法到实现
由m[i,j]的递推关系式可以看出,在计算m[i,j]时,需要用到m[i+1,j],m[i+2,j]…m[j-1,j];因此,求m[i,j]的前提,不是m[0…i-1;0…j-1] ,而是沿着主对角线开始,依次求取到右上角元素。

(1)、因为m[i,j]一个元素的计算,最多需要遍历n-1次,共O(n2)个元素,故算法的时间复杂度是O(n3),空间复杂度是O(n2)。

最后
以上就是合适哈密瓜最近收集整理的关于ML与math:机器学习与高等数学基础概念、代码实现、案例应用之详细攻略——基础篇一、ML与高等数学二、ML与概率统计三、ML与线性代数的全部内容,更多相关ML与math内容请搜索靠谱客的其他文章。



发表评论 取消回复