我是靠谱客的博主 殷勤棒球,这篇文章主要介绍第一章 命题逻辑 1.7 推理理论1.7 推理理论,现在分享给大家,希望可以做个参考。

1.6 组合电路老师应该不会讲(咱们上一届就没讲),所以咱们直接跳过。

1.7 推理理论

定义: 称蕴含式( A 1 A_1 A1 ∧ wedge A 2 A_2 A2 ∧ wedge ⋯ cdots ∧ wedge A n A_n An → rightarrow B 为 推 理 的 形 式 结 构 red{推理的形式结构 } A 1 A_1 A1 , A 2 A_2 A2, ⋯ cdots , A n A_n An 推 理 的 前 提 red{推理的前提} , B为 推 理 的 结 论 red{推理的结论} 。若( A 1 A_1 A1 ∧ wedge A 2 A_2 A2 ∧ wedge ⋯ cdots ∧ wedge A n A_n An → rightarrow B 为重言式,则称从前提 A 1 A_1 A1 ∧ wedge A 2 A_2 A2 ∧ wedge ⋯ cdots ∧ wedge A n A_n An 推出结论B的推论正确,B 是 A 1 A_1 A1 , A 2 A_2 A2, ⋯ cdots , A n A_n An 的有效结论或逻辑结论。记作:

A 1 A_1 A1 ∧ wedge A 2 A_2 A2 ∧ wedge ⋯ cdots ∧ wedge A n A_n An ⇒ Rightarrow B

A 1 A_1 A1 , A 2 A_2 A2, ⋯ cdots , A n A_n An ⇒ Rightarrow B

否则称推理不正确,或B不是前提 A 1 A_1 A1 , A 2 A_2 A2, ⋯ cdots , A n A_n An的有效结论。

辨析:在传统数学中定理的证明均是由前提(已知条件,全是真命题)推结论(亦全是真命题),这样的结论称为合法结论。数理逻辑有所不同,它着重研究的是推理过程,这种过程称为演绎或形式证明。对于作为前提和结论的命题并不一定要求它们都是真命题,这样的结论称为有效结论。

注意
由定义可知,推论是否正确取决于蕴含式是否为重言式。所以根据之前所学的知识我们已经有三种方法去判断推论是否正确:

  1. 真值表法
  2. 等值演算法
  3. 主析取(主合取)范式法

eg:
1.真值表法
法1
2.等值演算法
法2
根据这道例题就很容易明白我之前在辨析中讲的了。这里我们着重研究推理过程,不必在意前提(马会飞)和结论(牛不吃草)是否正确

3.主析取(主合区)范式法
法3
接下来就是本节的重点了!
为了更快速的判断推理是否正确,我们引入了一些推理定律和推理规则,如下:
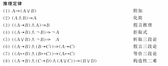
推理定律
这些都是最基本的推理公式,需要大家记下来。以后可以直接用,不必每次都展开化简。这里除了3,4,5其他都很好记的,给大家分享一下我对3,4,5的记法。 我们知道这些式子中前件是充分条件(小),后件是必要条件(大),我们要由小充分去推大必要,也就是要将它成真的范围放大,我们发现前件是由两个命题变元A,B组成的。我们将 “ ∧ wedge ”左右较简单的一项取真,这样前件真假就只由一个命题变元所决定,自然成真的范围就扩大了。剩下的命题变元取真或取假就是我们所推出来的后件了。
eg:
3.要让(( A A A → rightarrow B B B ∧ wedge A A A)成真我们先让 A A A成真,这样将它成真的范围放大。( A A A → rightarrow B B B)中 A A A是真,所以 B B B不能取假,否则( A A A → rightarrow B B B)为假。故推出的后件为 B B B

4.要让(( A A A → rightarrow B B B ∧ wedge ¬ B ¬B ¬B)成真我们先让 B B B为假,所以( A A A → rightarrow B B B)中 A A A也得为假。故我们推出后件 ¬ A ¬A ¬A

5.要让(( A A A ∨ vee B B B ∧ wedge ¬ B ¬B ¬B)为真我们先让 B B B为假,所以( A A A ∨ vee B B B)中 A A A为真。故我们推出的后件为 A A A

推理规则1
推理规则2
有了上面的基础我们再给大家介绍一种方法

构造证明法:构造证明可以看作公式是序列,其中的每个公式都是按照事先规定的规则得到的,且需将所有的规则在公式后写明,该序列的最后一个公式正是所要证明的结论。

eg:
8
上述例题让我们在前提下用推理定律和推理规则一步步推出结论。我们可以先倒着想,我们要推 q q q ,从前提中可知要推 q q q就得知道 p p p,想知道 p p p就得知道 r r r,想知道r就得知道 s s s,想知道 s s s就得知道 t t t t t t已知。推理的时候将这个过程反过来即可。

再来:
9
10
再给大家介绍几种判断推理是否正确的方法:

附加前提证明法(cp规则):当推理的结论为蕴含式的时候,可以将其前件作为附加前提引用,只要能推出其后件,则原推理成立。

cp
由上述证明可知此证明法成立
例题:
cp例子

归谬证明法:将结论的否定式作为附加前提引入,公式序列的最后得一矛盾式,则原推理成立。

归谬法证明
由上述证明可知此法成立

例题:
14
15

归结证明法:可将前提中的析取式归结起来,例如:( p p p ∨ vee q q q)与( ¬ p ¬p ¬p ∨ vee r r r) 归结得( p p p ∨ vee r r r)作为新的前提

原因如下:
归结原因
例题:
17
18
19

例10

20
21

练习:

22
23

最后

以上就是殷勤棒球最近收集整理的关于第一章 命题逻辑 1.7 推理理论1.7 推理理论的全部内容,更多相关第一章内容请搜索靠谱客的其他文章。

本图文内容来源于网友提供,作为学习参考使用,或来自网络收集整理,版权属于原作者所有。
点赞(137)

评论列表共有 0 条评论

立即
投稿
返回
顶部